ГОСТ 10706-76 ТРУБЫ СТАЛЬНЫЕ ЭЛЕКТРОСВАРНЫЕ ПРЯМОШОВНЫЕ Технические требования
| Скачать |
Electrically welded steel line-weld tubes. Technical requirements
ГОСТ 10706-76
ОКП 13 8100
Дата введения 01.01.78
Настоящий стандарт распространяется на прямошовные электросварные трубы общего назначения диаметром 478—1420 мм.
(Измененная редакция, Изм. № 4).
1. ТЕХНИЧЕСКИЕ ТРЕБОВАНИЯ
1.1. Размеры труб и предельные отклонения по ним должны соответствовать ГОСТ 10704.
1.2. В зависимости от показателей качества трубы изготовляют следующих групп:
А — по механическим свойствам из углеродистой стали марок Ст2, Ст3 (всех степеней раскисления) по ГОСТ 380, категории 1 по ГОСТ 14637;
Б — по химическому составу из углеродистой стали марок Ст2, Ст3 (всех степеней раскисления) с химическим составом по ГОСТ 380 и ГОСТ 14637;
В — по химическому составу и механическим свойствам из углеродистой стали марок Ст2 (всех степеней раскисления) по ГОСТ 380, категории 2 по ГОСТ 14637, Ст3кп по ГОСТ 380, категорий2 и 3 по ГОСТ 14637, Ст3пс, Ст3сп по ГОСТ 380, категорий 2, 3, 4 и 5 по ГОСТ 14637, а также изнизколегированной стали, углеродный эквивалент которой не превышает 0,48 %;
Д — без нормирования механических свойств и химического состава, но с нормированием гидравлического испытательного давления.
(Измененная редакция, Изм. № 4).
1.3. (Исключен, Изм. .№ 3).
1.4. Механические свойства основного металла труб должны соответствовать нормам, указаннымв табл. 2.
Т а б л и ц а 2*

(Измененная редакция, Изм. № 4).
1.5. Группы труб А и В должны выдерживать механические испытания сварного соединения нарастяжение по ГОСТ 6996. Временное сопротивление сварного соединения должно быть не нижевременного сопротивления основного металла, установленного для труб из данной марки стали.
1.6. По требованию потребителя трубы группы В должны выдерживать испытание на ударнуювязкость основного металла. Нормы ударной вязкости основного металла должны соответствоватьуказанным в табл. 3.
Т а б л и ц а 3

П р и м е ч а н и е. По соглашению изготовителя с потребителем ударная вязкость основного металла труб из низколегированной стали при минус 60 °С должна быть не менее 2,5 кгс • м/см2 (0,24 МДж/м2).
Для магистральных тепловых сетей трубы изготовляют термически обработанными из стали марок Ст3сп4, Ст3сп5 с механическими свойствами, указанными в табл. 3а.
Т а б л и ц а 3а

Нормы ударной вязкости сварного соединения труб для тепловых сетей при температуре минус 20°С должны быть не ниже норм основного металла, приведенных в табл. 3а.
Нормы ударной вязкости после механического старения для основного металла труб и при минус 20°С для сварного соединения факультативны до 1 июля 1988 г.
(Измененная редакция, Изм. № 2, 3, 4).
* Табл. 1. (Исключена, Изм. № 3).
1.7. Трубы диаметром до 820 мм должны иметь не более одного продольного и одного поперечногошва. Трубы диаметром 820 мм и более должны иметь два продольных и один поперечный шов. Потребованию потребителя допускается увеличение количества поперечных швов.
При наличии поперечного шва продольные швы должны быть смещены один относительно другого на расстояние не менее 100 мм. По требованию потребителя устанавливается верхняя границасмещения продольных швов относительно друг друга.
(Измененная редакция, Изм. № 1).
1.8. Высота валика усиления наружных продольных и поперечных швов должна соответствоватьнормам, указанным в табл. 4.
Т а б л и ц а 4

Допускается в местах ремонта швов и прихваток увеличение высоты валика усиления на 1 мм сверх норм,указанных в табл. 4.
Высота валика усиления по центру внутреннего шва должна быть не менее 0,5 мм. Допускается на концах труб надлине не менее 150 мм снятие усиления внутреннего шва довысоты 0—0,5 мм.
(Измененная редакция, Изм. № 4).
1.9. Концы труб должны быть обрезаны под прямым углом. Отклонение от прямого угла (косинареза) не должно превышать указанного в табл. 5.
Т а б л и ц а 5

1.10. Концы труб должны иметь фаску под углом 25—30° к торцу трубы. При этом должно бытьоставлено торцовое кольцо (притупление) шириной 1,0—3,0 мм для труб диаметром до 1020 ммвключительно и шириной 1,0—5,0 мм для труб диаметром более 1020 мм.
По требованию потребителя угол скоса фаски должен быть 30—35°, а для труб с толщиной стенки 17 мм и более разделка кромок должна быть выполнена в соответствии с черт. 1.
Допускается разделку кромок в соответствии с черт. 1 проводить на трубах с толщиной стенки 15 мм.

1.9, 1.10. (Измененная редакция, Изм. № 4).
1.11. Трещины, плены, раковины, расслоения и закаты на поверхности труб не допускаются.Незначительные забоины, рябизна, вмятины, мелкие риски, тонкий слой окалины, следы
зачистки и заварки дефектов допускаются, если они не выводят толщину стенки за предельные отклонения. Кроме того, допускается продольная риска глубиной не более 0,2 мм, наносимая приавтоматической сварке для направления шва.
Разрешается заварка дефектов труб с последующей зачисткой места заварки и повторным испытанием гидравлическим давлением.
1.12. Поверхностные дефекты металла шва в виде пор, раковин, трещин, свищей и другихдефектов, снижающих плотность и прочность металла шва ниже уровня основного металла, недопускаются.
Допускаются следы усадки металла вдоль продольной оси шва (утяжины). При этом величина усадки не должна выводить высоту усиления за пределы допускаемой минимальной высоты шва.
Переход от усиления шва к основному металлу должен быть плавным (без подрезов).
Допускаются без ремонта подрезы глубиной до 0,5 мм. При совпадении подрезов на наружном и внутреннем швах один из них должен быть отремонтирован.
Допускается производить ремонт сварных труб с последующим испытанием их гидравлическим давлением или контролем места ремонта физическими методами.
1.13. Каждая труба должна выдерживать испытание гидравлическим давлением.
Трубы группы А подвергаются испытанию гидравлическим давлением, вычисленным по формуле, приведенной в ГОСТ 3845 (Р:), при этом допускаемое напряжение принимается равным0,5 от минимального значения временного сопротивления, установленного для данной марки стали.
По заказу потребителя допускаемое напряжение должно равняться 0,85 от минимального значения предела текучести.
Трубы группы В подвергаются испытанию гидравлическим давлением, вычисленным по формуле, приведенной в ГОСТ 3845 (Р:), при допускаемом напряжении, равном 0,9 от минимального значенияпредела текучести, установленного для данной марки стали.
Трубы групп Д и Б должны выдерживать испытание гидравлическим давлением не менее 25 кгс/см2 (2,5 МПа). Трубы размерами 920 7, 1020 8, 11208, 11209, 12209, 1220 10, 13209,1320 10, 1320 11, 1420 10 и 1420 11 мм испытывают под давлением 20 кгс/см2 (2,0 МПа).
При испытании на прессах различной конструкции с осевым подпором величину гидравлического давления определяют в соответствии с требованиями ГОСТ 3845.
Гидроиспытанию не подвергаются трубы длиной свыше 10 м, полученные стыковкой, или более двух труб, прошедших гидроиспытания. По требованию потребителя поперечный сварнойшов должен быть проконтролирован неразрушающими физическими методами.
(Измененная редакция, Изм. № 2, 4).
1.14. Сварные швы труб для тепловых сетей должны быть проконтролированы неразрушающимиметодами по всей длине.
По требованию потребителя сварные соединения труб группы В должны контролироваться неразрушающими методами.
(Измененная редакция, Изм. № 2, 3).
1.15. Сварные соединения труб для магистральных тепловых сетей должны подвергатьсяиспытаниям на статический изгиб.
Минимально допустимый угол загиба для сварного соединения труб из углеродистых сталей — не менее 100°.
Норма испытания сварного соединения на статический изгиб факультативна до 1 июля 1988 г.
(Введен дополнительно, Изм. № 2).
2. ПРАВИЛА ПРИЕМКИ
2.1. Трубы предъявляют к приемке партиями. Партия должна состоять из труб одного размера,одной марки стали и одной группы изготовления и сопровождаться одним документом о качествепо ГОСТ 10692.
Количество труб в партии не должно превышать 100 шт.
(Измененная редакция, Изм. № 2).
2.2. Осмотру и обмеру подвергают каждую трубу.
2.3. Испытанию гидравлическим давлением подвергают каждую трубу.
2.4. Для контроля механических свойств и ударной вязкости от партии отбирают:
для одношовных труб — две трубы;
для двухшовных труб — одну трубу.
(Измененная редакция, Изм. № 4).
2.5. Химический состав стали принимают по документу о качестве предприятия—изготовителязаготовки. При необходимости проверку химического состава готовых труб производят на однойтрубе от партии.
2.6. При получении неудовлетворительных результатов испытания хотя бы по одному изпоказателей по нему проводят повторные испытания на удвоенной выборке, взятой от той жепартии или плавки.
Результаты повторных испытаний распространяются на всю партию.
(Измененная редакция, Изм. № 2).
3. МЕТОДЫ ИСПЫТАНИЙ
3.1. Химический состав стали проверяют при необходимости по ГОСТ 22536.0 — ГОСТ 22536.6.Пробы для определения химического состава стали отбирают по ГОСТ 7565.
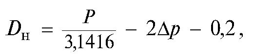
3.2. Наружный диаметр труб (DH) в миллиметрах проверяют замером периметра и вычисляютпо формуле:

где Р — периметр поперечного сечения трубы, мм;
Ар — толщина рулетки, мм;
0,2 — погрешность при замере периметра за счет перекоса рулетки при совмещении делений.
(Измененная редакция, Изм. № 1).
3.3. Гидравлическое испытание труб должно проводиться по ГОСТ 3845 с выдержкой поддавлением не менее 10 с.
3.4. Для проведения испытания на растяжение основного металла и сварного соединения откаждой отобранной трубы вырезают по одному образцу. Образцы отбирают в соответствии с ГОСТ7564.
Испытание на растяжение основного металла проводят на пятикратных поперечных образцах по ГОСТ 10006.
Допускается вместо испытания на растяжение производить контроль труб неразрушающими методами, обеспечивающими соответствие механических свойств нормам, указанным в настоящемстандарте.
При разногласиях в оценке уровня механических свойств испытания проводят по ГОСТ 10006.
Допускается испытание на растяжение основного металла труб из низколегированных сталей производить по нормативной документации, утвержденной в установленном порядке.
(Измененная редакция, Изм. № 4).
3.5. Испытание на растяжение сварного соединения должно проводиться по ГОСТ 6996 наобразцах типа XII со снятым усилением. Образцы для испытания сварного соединения на растяжениеотбирают перпендикулярно к шву.
3.6. Для проведения испытания на ударный изгиб от каждой отобранной трубы вырезают потри образца основного металла и по три образца сварного соединения. Для испытания основногометалла на ударный изгиб после механического старения дополнительно отбирают по три образца всоответствии с ГОСТ 9454.
Контроль основного металла труб на ударный изгиб проводят на образцах, вырезанных перпендикулярно к оси трубы. Испытания проводят по ГОСТ 9454 на образцах типа I при толщинестенки более 10 мм и типа 3 при толщине стенки 10 мм и менее.
Контроль сварного соединения на ударный изгиб проводят на образцах типа VII при толщине стенки 10 мм и менее и типа VI при толщине стенки 11 мм и более по ГОСТ 6996. Надрез на ударныхобразцах выполняется по линии сплавления шва, сваренного последним, перпендикулярно кпрокатной поверхности металла.
Ударная вязкость основного металла и сварного соединения определяется как среднее арифметическое значение по результатам испытания трех образцов. На одном из образцов допускаетсяснижение ударной вязкости на 4,9 Дж/см2 (0,5 кгс • м/см2), кроме труб, предназначенных для тепловыхсетей.
(Измененная редакция, Изм. № 2).
3.7. При изготовлении образцов для механических испытаний допускается правка образцов сприменением статической нагрузки.
3.8. Способ и методика контроля качества сварного шва физическими методами устанавливаютсяпредприятием-изготовителем.
Нормы допускаемых дефектов, определяемых неразрушающими методами контроля, устанавливаются нормативной документацией, утвержденной в установленном порядке.
3.9. Углеродный эквивалент для отдельной плавки низколегированной стали (Э) в процентахвычисляют по формуле:

где C, Mn, V — массовая доля углерода, марганца и ванадия, %.
(Введен дополнительно, Изм. № 1).
3.10. Испытание на склонность к механическому старению должно проводиться по ГОСТ 7268без предварительной 10 % -ной деформации.
(Введен дополнительно, Изм. № 2).
3.11. На трубе измеряют:периметр — рулеткой по ГОСТ 7502;
длину — рулеткой по ГОСТ 7502 или автоматизированными средствами измерения по нормативной документации;
толщину стенки — микрометром по ГОСТ 6507, толщиномером по ГОСТ 11358;
кривизну — поверочной линейкой и щупом по нормативному документу;
косину реза — параметр обеспечивается конструкцией оборудования для обработки торцов
труб;
глубину дефекта в месте зачистки — штангенглубиномером по ГОСТ 162; торцовое кольцо на концах труб (притупление) — линейкой по ГОСТ 427;угол скоса фаски — угломером по ГОСТ 5378.
(Измененная редакция, Изм. № 2, 4).
3.12. Испытание труб на статический изгиб проводится по нормативной документации.
3.12 (Введен дополнительно, Изм. № 2).
4. МАРКИРОВКА, УПАКОВКА, ТРАНСПОРТИРОВАНИЕ И ХРАНЕНИЕ
4.1. Маркировка, упаковка, транспортирование и хранение труб — по ГОСТ 10692.
При механизированном клеймении допускается расположение знаков на расстоянии более 500 мм от торца трубы. Участок клеймения отмечают черной краской в виде стрелки-указателя илипрямой линии.
При маркировке на каждой трубе дополнительно указывают:
- номер трубы;
- номер партии;
- год изготовления;
- клеймо технического контроля;
- размер трубы (диаметр и толщину стенки);
- обозначение настоящего стандарта.
Допускается при маркировке труб вместо марки стали наносить ее условное обозначение, которое указывается в документе о качестве.
Трубы, прошедшие термическую обработку, клеймятся знаком «Т».
(Измененная редакция, Изм. № 2).
ПРИЛОЖЕНИЕ. (Исключено, Изм. № 3).
ИНФОРМАЦИОННЫЕ ДАННЫЕ
1. РАЗРАБОТАН Всесоюзным научно-исследовательским и конструкторско-технологическим институтом трубной промышленности (ВНИТИ)
РАЗРАБОТЧИКИ
О. А. Семенов, М. М. Бернштейн, Н. Ф. Кузенко
2. УТВЕРЖДЕН И ВВЕДЕН В ДЕЙСТВИЕ Постановлением Государственного комитета СССР постандартам от 22.04.76 № 892
Изменение № 4 принято Межгосударственным Советом по стандартизации, метрологии и сертификации (протокол № 12 от 21.11.97)
Зарегистрировано Техническим секретариатом МГС № 2893
За принятие изменения проголосовали:

3. ВЗАМЕН ГОСТ 10706-63
4. Стандарт соответствует СТ СЭВ 489—77 и устанавливает более жесткие требования к ударнойвязкости основного металла, количеству поперечных швов, усилению внутреннего шва, к фаске наконце трубы
5. Стандарт унифицирован с БДС 6120—66
6. ССЫЛОЧНЫЕ НОРМАТИВНО-ТЕХНИЧЕСКИЕ ДОКУМЕНТЫ

7. Ограничение срока действия снято по протоколу № 5—94 Межгосударственного Совета по стандартизации, метрологии и сертификации (ИУС 11-12—94)
8. ИЗДАНИЕ с Изменениями № 1, 2, 3, 4, утвержденными в июле 1980 г., декабре 1985 г.,ноябре 1990 г., апреле 1999 г. (ИуС 10—80, 4—86, 2—91, 7—99)







