ГОСТ 10705-80
| Скачать |
ТРУБЫ СТАЛЬНЫЕ ЭЛЕКТРОСВАРНЫЕ
Технические условия
Electrically welded steel tubes. Specifications
ГОСТ 10705-80
ОКП 13 7300, 13 8100, 13 8300
Дата введения 01.01.82
Настоящий стандарт распространяется на стальные электросварные прямошовные трубы диаметром от 10 до 530 мм из углеродистой и низколегированной стали, применяемые для трубопроводов и конструкций различного назначения.
Стандарт не распространяется на стальные трубы, применяемые для изготовления теплоэлектронагревателей.
(Измененная редакция, Изм. № 5).
1. СОРТАМЕНТ
1.1. Размеры и предельные отклонения труб должны соответствовать ГОСТ 10704.
2. ТЕХНИЧЕСКИЕ ТРЕБОВАНИЯ
2.1. Стальные электросварные трубы изготовляют в соответствии с требованиями настоящегостандарта и по техническим регламентам, утвержденным в установленном порядке.
2.2. В зависимости от показателей качества трубы изготовляют следующих групп:
А — с нормированием механических свойств из спокойной, полуспокойной и кипящей стали марок Ст1, Ст2, Ст3, Ст4 по ГОСТ 380 (категории 4 по ГОСТ 16523, категории 1 по ГОСТ 14637);
Б — с нормированием химического состава из спокойной, полуспокойной и кипящей стали марок Ст1, Ст2, Ст3, Ст4 по ГОСТ 380 и ГОСТ 14637, из спокойной, полуспокойной и кипящейстали марок 08, 10, 15 и 20 по ГОСТ 1050, из стали марки 08Ю по ГОСТ 9045, из низколегированной стали марки 22ГЮ с химическим составом, приведенным в табл. 1а (трубы диаметром от 140 до426 мм);
В — с нормированием механических свойств и химического состава из спокойной, полуспокойной и кипящей стали марок Ст1, Ст2, Ст3, Ст4 по ГОСТ 380 (категории 4 по ГОСТ 16523 и категорий 2—5 по ГОСТ 14637), из спокойной, полуспокойной и кипящей стали марок 08, 10, 15,20 по ГОСТ 1050, из стали марки 08Ю по ГОСТ 9045, из низколегированной стали марки 22ГЮ схимическим составом, приведенным в табл. 1а (трубы диаметром от 140 до 426 мм);
Д — с нормированием испытательного гидравлического давления.
2.3. Трубы изготовляют термически обработанными (по всему объему трубы или по сварномусоединению), горячередуцированными и без термической обработки.
Вид термической обработки по всему объему трубы выбирает изготовитель. По соглашению изготовителя с потребителем трубы термически обрабатывают в защитной атмосфере.
Трубы из стали марки 22ГЮ изготовляют термически обработанными по сварному соединению или по всему объему, трубы из стали марки Ст1 — без термической обработки.
Т а б л и ц а 1а

2.4. Механические свойства основного металла термически обработанных и горячередуцированных труб из углеродистых сталей должны соответствовать нормам, указанным в табл. 1. Механические свойства термически обработанных труб из стали марки 22ГЮ устанавливаются по соглашению сторон.
Т а б л и ц а 1

П р и м е ч а н и е. По требованию потребителя трубы с толщиной стенки 4 мм и более из стали марок СтЗсп, 15, 15пс изготовляют с пределом текучести 235 Н/мм2 (24 кгс/мм2), относительным удлинением 23 %;из стали марок Ст4сп, 20, 20пс — с пределом текучести 255 Н/мм2 (26 кгс/мм2), относительным удлинением 22 %.
Т а б л и ц а 2

П р и м е ч а н и е. По требованию потребителя для труб всех марок стали диаметром от 10 до 60 мм относительное удлинение увеличивается на 3% по сравнению с нормами, приведенными в табл. 2.
Т а б л и ц а 3

2.5. Механические свойства основного металла труб диаметром от 10 до 152 мм включительнобез термической обработки и с термической обработкой сварного соединения должны соответствовать нормам, указанным в табл. 2. Механические свойства основного металла труб диаметром свыше 152 до 530 мм включительно без термической обработки и с термической обработкой сварногосоединения должны соответствовать нормам, указанным в табл. 3.
2.6. На поверхности труб не допускаются трещины, плены, закаты, рванины и риски.
Рябизна, забоины, вмятины, мелкие риски, слой окалины и следы зачистки допускаются при условии, если они не выводят толщину стенки и диаметр трубы за предельные отклонения. Допускается смещение кромок до 10 % от номинальной толщины стенки.
Поверхность труб, термически обработанных в защитной атмосфере, не должна иметь окалины. Допускается наличие окисной пленки.
Непровары швов должны быть заварены, место заварки зачищено. По соглашению с потребителем на трубах диаметром 159 мм и более в местах ремонта швов сваркой допускается смещение свариваемых кромок не более 20 % от номинальной толщины стенки и высота валика усиления неболее 2,5 мм.
Ремонт сваркой основного металла труб не допускается.
В случае ремонта сваркой труб, прошедших термическую обработку, они подвергаются повторной термической обработке (соответственно по всему объему или по сварному соединению).
2.7. На трубах диаметром 57 мм и более допускается один поперечный шов.
По соглашению изготовителя с потребителем один поперечный шов допускается на трубах диаметром менее 57 мм.
2.2—2.7. (Измененная редакция, Изм. № 5).
2.8. Наружный грат на трубах должен быть удален. В месте снятия грата допускается утонениестенки на 0,1 мм сверх минусового допуска.
По требованию потребителя на трубах внутренним диаметром 33 мм и более внутренний грат должен быть частично удален или сплющен, при этом высота грата или его следов не должнапревышать 0,35 мм — при толщине стенки менее 2 мм; 0,4 мм — при толщине стенки от 2 до 3 мм;0,5 мм — при толщине стенки свыше 3 мм.
Высоту внутреннего грата или его следов для труб внутренним диаметром менее 33 мм устанавливают по согласованию изготовителя с потребителем.
(Измененная редакция, Изм. № 1, 3).
2.9. Концы труб должны быть обрезаны под прямым углом и зачищены от заусенцев. Допускается образование фаски. Косина реза для труб диаметром до 219 мм не должна превышать 1 мм, а
для труб диаметром 219 мм и более —1,5 мм. По согласованию изготовителя с потребителем трубы изготовляют разрезанными в линии стана.
(Измененная редакция, Изм. № 3).
2.10. По требованию потребителя на концах труб с толщиной стенки 5 мм и более должнабыть снята фаска под углом 25—30° к торцу трубы и оставлено торцовое кольцо шириной(1,8 +0,8) мм. По согласованию изготовителя с потребителем угол скоса и ширина торцовогокольца могут быть изменены.
2.11. Трубы должны выдерживать испытательное гидравлическое давление. В зависимости отвеличины испытательного давления трубы подразделяют на два вида:
I — трубы диаметром до 102 мм — испытательное давление 6,0 МПа (60 кгс/см2) и трубыдиаметром 102 мм и более — испытательное давление 3,0 МПа (30 кгс/см2);
II — трубы группы А и В, поставляемые по требованию потребителя с испытательным гидравлическим давлением, рассчитанным по ГОСТ 3845, при допускаемом напряжении, равном 90 % отнормативного предела текучести для труб из данной марки стали, но не превышающее 20 МПа(200 кгс/см2).
2.12. Термически обработанные трубы из сталей марок Ст3сп, Ст3пс (категории 3—5), 10, 15 и20 с толщиной стенки не менее 6 мм должны выдерживать испытание на ударный изгиб основногометалла. При этом нормы ударной вязкости должны соответствовать указанным в табл. 4.
Т а б л и ц а 4

Испытание на ударный изгиб основного металла термообработанных труб из стали марки 22ГЮ проводят по требованию потребителя, нормы ударной вязкости устанавливают по соглашению сторон.
2.13. Термически обработанные трубы диаметром до 152 мм включительно, трубы горячередуцированные и без термической обработки диаметром более 20 до 152 мм включительно и толщинойстенки 0,06 DH и менее, а также трубы с термической обработкой сварного соединения должнывыдерживать испытание на сплющивание.
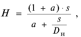
Сплющивание термически обработанных труб должно проводиться до расстояния между сплющивающими плоскостями Н, мм, вычисленного по формуле

где а — коэффициент для труб из стали марок 08Ю, 08кп, 8пс, 08, 10кп, Ст2кп равен 0,09, а для труб из остальных марок сталей равен 0,08;s — номинальная толщина стенки, мм;
DH — номинальный наружный диаметр трубы, мм.
Сплющивание труб без термической обработки должно проводиться до расстояния, равного 2/3 DH. Сплющивание труб с термической обработкой сварного соединения должно проводиться дорасстояния, равного 1/2 DH.
По требованию потребителя сплющивание термически обработанных труб диаметром свыше 152 до 530 мм должно проводиться до расстояния, равного 2/3 DH.
2.11—2.13. (Измененная редакция, Изм. .№ 5).
2.14. Трубы диаметром до 108 мм должны выдерживать испытание на раздачу.
Трубы без термической обработки диаметром до 20 мм, а также диаметром 20—60 мм с толщиной стенки более 0,06 DH на раздачу не испытывают.
Увеличение наружного диаметра термически обработанных труб при раздаче должно соответствовать нормам, указанным в табл. 5.
Т а б л и ц а 5

Увеличение наружного диаметра труб без термической обработки при раздаче должно составлять не менее 6 %.
По требованию потребителя увеличение наружного диаметра при раздаче термически обработанных труб с толщиной стенки до 4 мм из стали марок 10кп, Ст2кп должно быть не менее 12 %.
(Измененная редакция, Изм. № 1, 3, 4).
2.15. По требованию потребителя трубы должны выдерживать испытания, предусмотренныеп.п. 2.16-2.18.
2.16. Термически обработанные трубы диаметром до 530 мм включительно должны выдерживать испытание на загиб. Величина радиуса загиба для труб диаметром до 60 мм должна быть неменее 2,5 DH, для основного металла труб диаметром свыше 60 до 530 мм — по ГОСТ 3728. Посогласованию изготовителя с потребителем величина радиуса загиба может быть уменьшена.
(Измененная редакция, Изм. № 1).
2.17. Термически обработанные трубы диаметром от 30 до 159 мм с отношением D/s, равным
12.5 и более, должны выдерживать испытание на бортование. Ширина отгибаемого борта, отмеренная от внутренней поверхности, должна быть не менее 12 % внутреннего диаметра трубы и не менее
1.5 толшины стенки.
Угол отбортовки должен составлять:
90° — для труб из стали марок 08, 10, 15, Ст2;
60° — для труб из стали марок 20, Ст3, Ст4.
2.18. Трубы диаметром 50 мм и более групп А и В должны выдерживать испытание сварногосоединения на растяжение.
Временное сопротивление сварного соединения труб диаметром от 219 до 530 мм, прошедших термическую обработку по всему объему трубы или термическую обработку сварного соединения,должно соответствовать нормам, указанным в табл. 1. Временное сопротивление сварного соединения труб диаметром от 50 до 203 мм, прошедших термическую обработку по всему объему трубыили термическую обработку сварного соединения, должно быть не менее 0,9 от норм, указанных втабл. 1.
Временное сопротивление сварного соединения труб без термической обработки диаметром от 50 мм и более должно соответствовать нормам, указанным в табл. 2 и 3.
(Измененная редакция, Изм. № 1, 3).
2.19. Трубы должны быть герметичными.
(Измененная редакция, Изм. № 3).
3. ПРАВИЛА ПРИЕМКИ
3.1. Трубы принимают партиями. Партия должна состоять из труб одного размера, одной маркистали, одного вида термообработки и одной группы изготовления, сопровождаемых одним документом о качестве, по ГОСТ 10692 с дополнением — химический состав стали в соответствии сдокументом о качестве предприятия — изготовителя заготовки.
Количество труб в партии должно быть не более, шт.:
1000 — при диаметре до 30 мм;
600 — при диаметре св. 30 до 76 мм;
400 — при диаметре св. 76 до 152 мм;
200 — при диаметре св. 152 мм.
(Измененная редакция, Изм. № 1).
3.2. При разногласиях в оценке качества химического состава для проверки отбирают не менееодной трубы от партии.
3.3. Контролю размеров и качества поверхности трубы подвергают каждую трубу. Допускаетсяконтроль размеров и поверхности проводить выборочно на каждой партии с одноступенчатым
нормальным уровнем контроля в соответствии с требованиями ГОСТ 18242.* Планы контроля устанавливаются по согласованию изготовителя с потребителем.
(Измененная редакция, Изм. № 3).
3.3а. Сварные швы труб групп А, Б и В должны быть подвергнуты 100 %-ному контролю неразрушающими методами.
При контроле качества шва неразрушающими методами проводится дополнительный контроль гидравлическим давлением на 15 % труб от партии.
По соглашению изготовителя с потребителем испытание труб гидравлическим давлением не проводится.
При проведении неразрушающего контроля по периметру всей трубы гидравлическое испытание труб вида I разрешается не проводить.
Допускается взамен неразрушающего контроля сварных швов труб вида I производить испытание каждой трубы повышенным гидравлическим давлением, рассчитанным в соответствии с требованиями ГОСТ 3845 при допускаемом напряжении, равном 85 % от предела текучести для труб диаметром 273 мм и более и 75 % от предела текучести для труб диаметром менее 273 мм, но непревышающим 12 МПа (120 кгс/см2).
Трубы группы Д должны быть подвергнуты испытанию гидравлическим давлением или контролю сварного шва неразрушающими методами.
(Измененная редакция, Изм. № 5).
При контроле качества шва неразрушающими методами проводится дополнительный контроль гидравлическим давлением на 15 % труб от партии.
По согласованию изготовителя с потребителем испытание труб гидравлическим давлением не проводится.
(Введен дополнительно, Изм. № 3).
3.4. Для проверки высоты внутреннего грата отбирают 2 % труб от партии.
3.5. Для испытаний на сплющивание, раздачу, бортование, загиб, ударную вязкость, склонность основного металла труб к механическому старению, растяжение основного металла и сварного шва отбирают две трубы от партии.
Предел текучести основного металла труб определяют по требованию потребителя.
По требованию потребителя определение ударной вязкости не проводят.
Трубы, подвергнутые испытанию на сплющивание, испытанию на раздачу не подвергают.
(Измененная редакция, Изм. № 1).
3.6. При получении неудовлетворительных результатов испытаний хотя бы по одному из показателей по нему проводят повторные испытания на удвоенном количестве труб, отобранных от тойже партии.
Результаты повторных испытаний распространяются на всю партию.
3.7. Места заварки швов труб групп А, Б, В должны быть проконтролированы неразрушающими методами, а отремонтированные трубы испытаны гидравлическим давлением в соответствии стребованиями п. 3.3а настоящего стандарта.
Места заварки швов труб группы Д должны пройти контроль неразрушающими методами либо трубы после ремонта должны быть испытаны гидравлическим давлением.
(Измененная редакция, Изм. № 5).
4. МЕТОДЫ ИСПЫТАНИЙ
4.1. Для контроля качества от каждой отобранной трубы вырезают по одному образцу длякаждого вида испытаний, а для испытания на ударную вязкость — по три образца для каждойтемпературы испытаний.
4.2. Химический состав стали определяют по ГОСТ 22536.0 — ГОСТ 22536.6, ГОСТ 12344 — ГОСТ 12354. Пробы для определения химического состава отбирают по ГОСТ 7565.
4.3. Осмотр поверхности труб проводят визуально. Глубину дефектов проверяют надпиловкойили другим способом.
Допускается контроль поверхности и размера труб проводить неразрушающими методами по технической документации.
(Измененная редакция, Изм. № 1).
На территории Российской Федерации действует ГОСТ Р 50779.71 — 99.
4.4. Трубы измеряют:
длину — рулеткой по ГОСТ 7502;
наружный диаметр и овальность — регулируемой измерительной скобой по ГОСТ 2216 или штангенциркулем по ГОСТ 166, или микрометром по ГОСТ 6507;
внутренний диаметр — пробкой по ГОСТ 14810 или калибром по ГОСТ 2015, или путем вычитания от наружного диаметра двух толщин стенок;
кривизну — поверочной линейкой по ГОСТ 8026 и щупом;
толщину стенки, разностенность и высоту внутреннего грата — микрометром по ГОСТ 6507 или стенкомером по ГОСТ 11358;
смещение кромок — шаблоном по технической документации или микрометром по ГОСТ 6507, или штангенглубинометром по ГОСТ 162;
косину реза — параметр обеспечивается конструкцией оборудования для обработки торцов
труб;
угол скоса фаски — угломером по ГОСТ 5378. При разногласиях в оценке качества косину реза проверяют угольником и щупом;
торцевое кольцо на концах труб — линейкой по ГОСТ 427;
глубину поверхностных дефектов — штангенглубинометром по ГОСТ 162. Измерение наружного диаметра трубы проводят на расстоянии не менее 15 мм от торца трубы для труб с отношением наружного диаметра к толщине стенки DH/sH, равным 35 и менее; на расстоянии не менее 2/3 DH —для труб с отношением DH/sH свыше 35 до 75; на расстоянии не менее DH — для труб с отношениемDH/sH свыше 75.
(Измененная редакция, Изм. № 1, 3).
4.5. Испытание на ударный изгиб проводят на продольных образцах типа 3 по ГОСТ 9454,вырезанных из участка трубы, расположенного под углом около 90° к сварному шву.
Ударную вязкость определяют как среднее арифметическое значение по результатам испытания трех образцов. На одном из образцов допускается снижение ударной вязкости на 9,8-104 Дж/м2 (1 кгс-м/см2).
Температуру испытания на ударный изгиб труб из стали марок 08, 10, 15 и 20 выбирает потребитель.
(Измененная редакция, Изм. № 1).
4.6. Склонность основного металла труб к механическому старению определяют по ГОСТ 7268.Допускается правка образцов статической нагрузкой.
4.7. Испытание на растяжение проводят по ГОСТ 10006 на продольном (в виде полосы илиотрезка трубы) пропорциональном коротком образце.
При испытании на образцах сегментного сечения последний вырезают из участка, расположенного под углом около 90° к сварному шву, и в расчетной части не выправляют.
Допускается взамен испытания на растяжение проводить контроль временного сопротивления, предела текучести и относительного удлинения труб неразрушающими методами.
При возникновении разногласий испытание труб проводят по ГОСТ 10006.
(Измененная редакция, Изм. № 1).
4.8. Испытание на сплющивание проводят по ГОСТ 8695.
4.9. Испытание на раздачу проводят по ГОСТ 8694 на оправке с конусностью 30°. Допускаетсяиспользование оправок с конусностью 1 : 10 и удаление грата на участке раздачи.
(Измененная редакция, Изм. № 3).
4.10. Испытание на загиб проводят по ГОСТ 3728. Трубы диаметром 114 мм испытывают навырезанных продольных полосах шириной 12 мм.
4.11. Испытание на бортование проводят по ГОСТ 8693. На участке отбортовки допускаетсяудаление грата.
4.12. Определение временного сопротивления сварного соединения труб диаметром 50—530 ммпроводят на кольцевых образцах по технической документации.
На трубах диаметром 219 мм и более допускается проводить испытание по ГОСТ 6996 на образцах типа XII со снятым усилением сварного соединения, вырезанных перпендикулярно к оситрубы, с применением статической нагрузки при правке образцов.
4.13. Гидравлическое испытание труб проводят по ГОСТ 3845 с выдержкой под давлением 5 с.
4.14. Контроль сварного шва проводят неразрушающими методами (ультразвуковым, токовихревым, магнитным или рентгеновским равнозначным им методом) по технической документации.
5. МАРКИРОВКА, УПАКОВКА, ТРАНСПОРТИРОВАНИЕ И ХРАНЕНИЕ
5.1. Маркировка, упаковка, транспортирование и хранение — по ГОСТ 10692.
ИНФОРМАЦИОННЫЕ ДАННЫЕ
1. РАЗРАБОТАН И ВНЕСЕН Министерством черной металлургии СССРРАЗРАБОТЧИКИ
М. М. Бернштейн, Н. Ф. Кузенко
2. УТВЕРЖДЕН И ВВЕДЕН В ДЕЙСТВИЕ Постановлением Государственного комитета СССР постандартам от 25.12.80 № 5970
Изменение № 5 принято Межгосударственным Советом по стандартизации, метрологии и сертификации (протокол № 13 от 28.05.98)
Зарегистрировано Техническим секретариатом МГС № 3166
За принятие изменения проголосовали:

3. ВЗАМЕН ГОСТ 10705-63
4. ССЫЛОЧНЫЕ НОРМАТИВНО-ТЕХНИЧЕСКИЕ ДОКУМЕНТЫ

5. Ограничение срока действия снято Постановлением Госстандарта от 12.07.91 № 1247
6. ИЗДАНИЕ с Изменениями № 1, 2, 3, 4, 5, утвержденными в декабре 1986 г., декабре 1987 г.,июне 1989 г., июле 1991 г., апреле 1999 г. (ИуС 2-87, 3-88, 10-89, 10-91, 7-99)
На территории Российской Федерации действует ГОСТ Р 50779.71—99.







