ГОСТ 3845-75
| Скачать |
МЕЖГОСУДАРСТВЕННЫЙ СТАНДАРТ
ТРУБЫ МЕТАЛЛИЧЕСКИЕ
Метод испытания гидравлическим давлением
Metallic tubes. Hydraulic pressure testing method
ГОСТ 3845-75
Взамен
ГОСТ 3845-65
ОКСТУ 1909
Постановлением Государственного комитета стандартов Совета Министров СССР от 30.12.75 № 4102 дата введения установлена
01.01.77
Ограничение срока действия снято по протоколу № 7—95 Межгосударственного Совета по стандартизации, метрологии и сертификации (ИУС 11—95)
Настоящий стандарт распространяется на трубы из стали, чугуна, цветных металлов и устанавливает метод испытания их внутренним гидравлическим давлением для проверки прочности и плотности основного металла труб и сварных швов.
Стандарт полностью соответствует СТ СЭВ 480—77 в части испытания гидравлическим давлением.
(Измененная редакция, Изм. № 1).
1. ОБОРУДОВАНИЕ И АППАРАТУРА
Гидравлический пресс любой конструкции, обеспечивающий испытание в соответствии с требованиями настоящего стандарта.
Манометры 1-го класса точности — для контроля пробного давления при испытании особотонкостенных труб (s/D ≤ 0,01 при D ≤ 102 мм); манометры не ниже класса точности 2,5 — при испытании остальных труб.
2. ПОДГОТОВКА И ПРОВЕДЕНИЕ ИСПЫТАНИЯ
2.1. Наибольшую величину пробного давления рассчитывают по формулам, приведенным ниже.
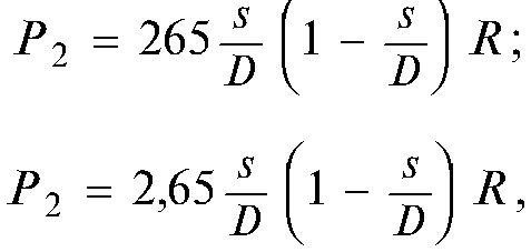
2.1.1. Наибольшее пробное давление для круглых монометаллических бесшовных труб диаметром до 550 мм и сварных труб диаметром до 480 мм включительно (Р1), МПа (кгс/см2), и (Р2), МПа(кгс/см2), вычисляют по формулам:
(1)
(2)
Издание с Изменениями № 1, 2, утвержденными в апреле 1980 г., октябре 1986 г. (ИУС 5—80, 1—87).
где s — минимальная (с учетом минусового допуска) толщина стенки трубы, мм;
D — номинальный наружный диаметр трубы, мм;
R — допускаемое напряжение в стенке трубы при испытании, МПа (кгс/мм2);
Dp — расчетный диаметр трубы, мм, в качестве которого может быть использован: наружный диаметр Dp = D (для обсадных и насосно-компрессорных труб),средний диаметр Dp = D — s (для бесшовных, в том числе котельных, свертнопаяных и
сварных труб с отношением s/D ≤ 0,13).
Формулы (2) применяются для бесшовных, в том числе котельных, свертнопаяных и сварных труб с отношением s/D ≥ 0,13.
2.1.2. Величину пробного давления или расчетную формулу (или ссылку на нее), а также допускаемое напряжение указывают в нормативно-технической документации на конкретный видпродукции.
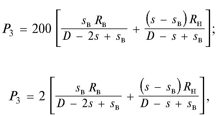
2.1.3. Наибольшее давление (Р3), МПа (кгс/см2), для биметаллических круглых труб вычисляютпо формулам
(3)
где RB, RH — допускаемые напряжения для металла внутреннего и наружного слоев, МПа (кгс/мм2), устанавливаются в стандартах на соответствующие виды труб;sB — толщина внутреннего слоя металла, мм. При расчете испытательного давления, когда RB < RH, в формулы (3) подставляется наибольшая (с учетом плюсового допуска)толщина внутреннего слоя. При условии, когда RB > RH, в формулы (3) подставляетсянаименьшая (с учетом минусового допуска) толщина внутреннего слоя.
Если допускаемое напряжение каждого слоя в отдельности неизвестно, то расчет пробного давления для биметаллических труб проводят по формулам (1) с подстановкой Dp = D — s и среднегодопускаемого напряжения.
2.1.1—2.1.3. (Измененная редакция, Изм. № 2).
2.1.4. Наибольшее пробное давление для сварных труб диаметром 530 мм и более вычисляют поформулам (1) с подстановкой Dp = D — 2s.
Расчет пробного давления (Р4), МПа (кгс/см2), при испытании труб на прессах различной конструкции с осевым подпором проводят по формуле (4), что является эквивалентным пробномудавлению без осевого подпора Р1.
(4)
где N — коэффициент, учитывающий напряжения изгиба, возникающие под действием массы трубы и наполняющей жидкости;

l — наибольшее расстояние между опорами, удерживающими трубу в процессе гидроиспытания, либо максимальная длина трубы при отсутствии опор, м;
К — коэффициент, учитывающий осевой подпор, зависящий от способа герметизации полости сварной трубы на время гидравлического испытания, равный:для гидропрессов с торцовым упорным уплотнением
К = 0,97,
для гидропрессов с манжетным уплотнением со слежением

для гидропрессов с торцовым распорным уплотнением

где 0,07 — коэффициент, гарантирующий герметизацию внутреннего объема трубы;
Dr — внутренний диаметр подвижной части уплотняющей головки пресса, мм;
d — диаметр центрального цилиндра подачи воды, мм.
При испытании двухслойных труб в качестве минимальной толщины стенки в формулы (1), (4) подставляют суммарную толщину слоев с учетом суммарного минусового допуска.
(Измененная редакция, Изм. № 1, 2).
2.2. Наибольшую величину пробного давления для профильных, гнутых и чугунных труб устанавливают в стандартах на соответствующие виды труб.
2.3. В качестве наполнителя, передающего давление на стенку трубы, применяют воду, эмульсию или другую жидкость.
2.4. Перед испытанием воздух из трубы должен быть вытеснен наполняющей жидкостью.
2.5. Нарастание давления при испытании всех труб и сброс давления при испытании особотонкостенных труб (s/D ≤ 0,01 при D ≤ 102 мм) производят плавно (без гидравлических ударов).
2.6. Время выдержки труб под пробным давлением устанавливают в стандартах на соответствующие виды труб.
2.7. Стальные сварные трубы диаметром 530 мм и более, а также чугунные трубы всех размеровво время выдержки их при испытательном давлении должны механизированным способом обстукиваться молотками или роликами массой 0,5—0,8 кг. По соглашению потребителя с изготовителемобстукивание может не проводиться.
3. ОБРАБОТКА РЕЗУЛЬТАТОВ
3.1. Труба считается выдержавшей испытание, если при испытании не будет визуально обнаружено течи рабочей жидкости и, после испытания, остаточной деформации (выпучивания) стенки, выводящей диаметр трубы за предельные отклонения.
4. ПРОТОКОЛ ИСПЫТАНИЯ
В протоколе испытания указывают:
- материал и размеры трубы;
- полученные результаты.
(Введен дополнительно, Изм. № 1).







