ГОСТ 27772-88


Скачать

 

 

МЕЖГОСУДАРСТВЕННЫЙ СТАНДАРТ

ПРОКАТ ДЛЯ СТРОИТЕЛЬНЫХ СТАЛЬНЫХ КОНСТРУКЦИЙ

Общие технические условия

Rolled products for structural steel constructions. General specifications

ГОСТ 27772-88

МКС 77.140.50

ОКП 09 2500, 09 3000, 09 7000, 11 2000

Дата введения 01.01.89

Настоящий стандарт распространяется на горячекатаный фасонный (уголки, двутавры, швеллеры), листовой, широкополосный универсальный прокат и гнутые профили из углеродистой и низколегированной стали, предназначенные для строительных стальных конструкций со сварнымии другими соединениями.

Допускается применять прокат, изготовленный по настоящему стандарту, для других отраслей промышленности.

1. СОРТАМЕНТ

1.1. Фасонный прокат изготовляют из стали С235, С245, С255, С275, С285, С345, С345К,С375, листовой универсальный прокат и гнутые профили — из стали С235, С245, С255, С275,С285, С345, С345К, С375, С390, С390К, С440, С590, С590К.

Примечание. Буква С означает — сталь строительная, цифры условно обозначают предел текучести проката, буква К — вариант химического состава.

Соответствующие марки по действующим стандартам приведены в приложении 1.

1.2. По форме, размерам и предельным отклонениям прокат должен соответствовать требованиям:

ГОСТ 8509 — для углового равнополочного,

ГОСТ 8510 — для углового неравнополочного,

ГОСТ 8239 — для балок двутавровых,

ГОСТ 19425 — для балок двутавровых и швеллеров специальных,

ГОСТ 26020 — для двутавров с параллельными гранями полок,

ГОСТ 8240 — для швеллеров,

ГОСТ 19903 — для листового проката,

ГОСТ 82 — для широкополосного универсального проката,

НТД — для листов просечно-вытяжных,

ГОСТ 8568 — для листов с ромбическим и чечевичным рифлением,

ГОСТ 7511, ГОСТ 8278, ГОСТ 8281, ГОСТ 8282, ГОСТ 8283, ГОСТ 9234, ГОСТ 10551, ГОСТ 13229, ГОСТ 14635, ГОСТ 19771, ГОСТ 19772, ГОСТ 25577 — для профилей гнутых.

1.3. Условные обозначения проката должны соответствовать приведенным в приложении 2.

2. ТЕХНИЧЕСКИЕ ТРЕБОВАНИЯ

2.1. Прокат изготовляют в соответствии с требованиями настоящего стандарта по технологическому регламенту, утвержденному в установленном порядке.

2.2. Химический состав стали по плавочному анализу ковшовой пробы должен соответствоватьнормам, приведенным в табл. 1.

Таблица 1

* Сталь термоупрочненная с прокатного нагрева.

** Сталь термоупрочненная со специального нагрева.

Примечания:

  1. В стали С245, С275, С255 и С285 допускается увеличение массовой доли марганца до 0,85%.
  2. В стали С345К по согласованию изготовителя с потребителем допускается массовая доля никеля до 0,30%.
  3. В стали С590К допускается замена части массовой доли никеля кобальтом.

(Измененная редакция, Изм. № 1).

2.3. Вариант химического состава стали С255 и С285 выбирает изготовитель проката в соответствии с требованиями табл. 1.

2.4. Прокат из стали С255 с массовой долей марганца 0,8 % — 1,1 % и кремния 0,15 % — 0,30 %изготовляют толщиной более 30 мм, из стали С285 того же химического состава — толщиной неменее 16 мм.

2.5. По требованию потребителя массовая доля меди в стали С345, С375, С390, С440 должнабыть 0,15 % — 0,30 %, при этом к обозначению стали добавляют букву Д, например: С345Д.

2.6. Допускается способом термического улучшения со специального нагрева изготовлять листовой прокат стали С390 с химическим составом стали С345, а также способом термического упрочнения с прокатного нагрева изготовлять фасонный прокат с толщиной полки до 12 мм включительно стали С345 и С375 с химическим составом стали С245 и С255.

К обозначению стали добавляют букву Т, например: С390Т, С390ДТ, С345Т-2, С345Т-1.

2.7. Массовая доля азота в стали, кроме стали С390, С390К, С440 и С590К, должна быть неболее 0,008 %, а при выплавке в электропечах — не более 0,012 %.

Массовая доля мышьяка — не более 0,08 %.

При выплавке стали из керченских руд массовая доля мышьяка — не более 0,15 %, при этом в стали С345, С375, С390, С440, С590 и С590К массовая доля фосфора должна быть не более 0,030 %.

2.8. Массовая доля остаточного (кислоторастворимого) алюминия в стали С255 и С285 с массовой долей марганца до 0,85 % и кремния 0,15 % — 0,30 %, предназначенной для листового иширокополосного универсального проката, должна быть не менее 0,020 %.

Для стали С345 допускается добавка алюминия и титана из расчета получения в прокате массовой доли титана 0,01% — 0,03 %.

2.9. По требованию потребителя в стали С345, С375, С390, С390К и С440 массовая доля фосфора должна быть не более 0,030 %, серы — не более 0,035 %.

2.10. Допускается обработка стали синтетическими шлаками, вакуумирование, продувка аргоном, модифицирование стали кальцием и редкоземельными элементами из расчета введения вметалл не более 0,02 % кальция и 0,05 % редкоземельных элементов.

2.11. При обработке синтетическими шлаками стали С590К с массовой долей серы в стали неболее 0,015 % допускается массовая доля остаточного титана до 0,040 % и массовая доля меди до0,50 %; при массовой доле серы более 0,015 % допускается массовая доля остаточного титана до0,030 %.

2.12. При изготовлении стали С590К методом электрошлакового переплава к обозначениюстали добавляется буква Ш — С590КШ. Массовая доля серы в стали С590КШ должна быть не более0,010 %, фосфора — не более 0,020 %.

2.13. Предельные отклонения по химическому составу в готовом прокате от норм табл. 1 должны соответствовать табл. 2.

Таблица 2

Примечание. В прокате из стали С345К предельное отклонение по массовой доле фосфора составляет +0,03 %, из стали С590 и С590К предельные отклонения по массовой доле молибдена составляют +0,02%, из

стали С345К и С590К предельные отклонения по массовой доле алюминия составляют %.

2.13.1. Допускается химический анализ стали на содержание хрома, никеля (кроме стали С345Ки С590К), меди (кроме стали С345К, С345Д, С375Д, С390Д, С390К и С440Д), мышьяка и азота(кроме стали С390, С390К, С440 и С590), алюминия (кроме стали С345К и С590К), а в стали С235также кремния и в стали С590К титана изготовителю не проводить. Требуемый химический составгарантируется изготовителем. В стали, выплавляемой из керченских руд, определение мышьяка обязательно.

2.13.2. Допускается химический анализ готового проката изготовителю не проводить. Установленные нормы гарантируются изготовителем.

2.14. Прокат изготовляют в горячекатаном состоянии. Для обеспечения требуемых свойств допускается применение термической обработки.

Листы из стали С390, С390К и С440 изготовляют в нормализованном или улучшенном состоянии, листы из стали С590 и С590К — в улучшенном состоянии.

2.15. Состояние поверхности и кромок для листового и широкополосного универсального проката должно соответствовать требованиям ГОСТ 14637 и ГОСТ 16523, фасонного проката —ГОСТ 535, подгруппы 1. Зачистка поверхности проката допускается на глубину, не выводящую запределы минусовых отклонений.

2.16. Плоскостность листового проката должна соответствовать требованиям ГОСТ 19903. Видплоскостности оговаривается в заказе. Для листового проката из стали С590, С590К толщиной до20 мм включительно отклонения от плоскостности должны быть не более 15 мм на 1 м длины,толщиной свыше 20 мм — не более 12 мм на 1 м длины.

2.17. Расслоение проката не допускается.

По сплошности при проведении ультразвукового контроля прокат должен соответствовать классам 0, 1, 2, 3 ГОСТ 22727.

Необходимость проведения УЗК и класс сплошности указывают в заказе.

2.18. Свариваемость стали гарантируется изготовителем.

По требованию потребителя углеродный эквивалент (Сэ) должен быть для стали С390 и С390К не более 0,49 %, стали С440 — не более 0,51 %.

2.19. Механические свойства при растяжении, ударная вязкость, а также условия испытанийна изгиб должны соответствовать для фасонного проката требованиям табл. 3, листового и широкополосного универсального — табл. 4.

Таблица 3

Механические свойства фасонного проката

Продолжение табл. 3

* Для профиля толщиной 5 мм норма ударной вязкости — 49 Дж/см2 (5 кгс^м/см2).

Таблица 4

Механические свойства листового и широкополосного универсального проката

Продолжение табл. 4

* Для листов и полосы толщиной 5 мм норма ударной вязкости — 39 Дж/см2 (4,0 кгс^м/см2).

** Для листов и полосы толщиной 5 мм норма ударной вязкости — 34 Дж/см2 (3,5 кгс^м/см2).

Примечания:

  1. Для стали С590К допускается снижение предела текучести и временного сопротивления на 49 Н/мм2(5,0 кгс^м/см2), относительного удлинения — на 2 % абс.
  2. Для стали С590КШ ударная вязкость при температуре минус 70 °С должна быть не менее 49 Дж/см2(5,0 кгс^м/см2).
  3. Для стали С590 и С590К проба на изгиб должна выдержать изгиб на 120° без надрывов и трещин и догибдо 180° без разделения на две отдельные части.

2.20. Значения временного сопротивления проката из стали С390, С390К, С440, С590 и С590Кне должны превышать нормативные более чем на 180 Н/мм2 (18,5 кгс/мм2).

2.21. Для листового проката из стали С235, С245, С255, С275 и С285 толщиной 4—8 мм нормаотносительного удлинения в табл. 4 уменьшается на 2 % абс.

2.22. Нормы ударной вязкости приведены для проката толщиной 5 мм и более.

Для фасонного проката нормы ударной вязкости при температуре минус 70 °С относятся к профилям с толщиной полки до 11 мм включительно; по согласованию изготовителя с потребителем эти нормы могут быть распространены на прокат толщиной до 20 мм.

2.23. Допускается снижение величины ударной вязкости на одном образце на 30 %. При этомсреднее значение результатов испытаний должно быть не ниже норм табл. 3 и 4.

2.24. Прокат из стали С345 и С375 изготовляют категорий 1, 2, 3 и 4 в зависимости от требований по испытаниям на ударный изгиб. Нормируемые показатели ударной вязкости для проката изстали С345 и С375 различных категорий, оговоренных в заказе, приведены в табл. 5.

Таблица 5

2.25. Для листового проката из стали С390, С390К, С440, С590 и С590К дополнительно определяют ударную вязкость при температуре минус 40 °С на образцах типа 11 по ГОСТ 9454. Ударнаявязкость должна быть не менее 20 Дж/см2 (2,0 кгс • м/см2). Норма не является браковочной до 01.01.91.Определение обязательно.

2.26. Для листов из стали С590К (С590КШ) излом специальных надрезанных образцов должениметь волокнистое строение на площади не менее 80 %.

2.27. Остальные требования к листовому прокату — по ГОСТ 14637, ГОСТ 16523, фасонному— по ГОСТ 535, профилям стальным гнутым — по ГОСТ 11474.

2.28. Маркировка, упаковка — по ГОСТ 7566с дополнениями: для фасонного проката — поГОСТ 535, для листового и широкополосного универсального — по ГОСТ 14637, для гнутых профилей — по ГОСТ 11474.

2.28.1. Маркировку фасонного проката из стали С235, С245, С255, С275, С285, С345 и С375проводят несмываемой краской, при этом используют цвета, приведенные в табл. 6.

Таблица 6

3. ПРИЕМКА

3.1. Прокат принимают партиями. Партия должна состоять из проката одного размера, однойплавки — ковша, а для термообработанного проката — и одного режима термической обработки.

3.2. Партия должна сопровождаться документом о качестве по ГОСТ 7566, ГОСТ 14637, ГОСТ16523 — для листового проката, ГОСТ 535 — для фасонного проката, ГОСТ 11474 — для профилейстальных гнутых с дополнениями:

  • условное обозначение проката;
  • способ обработки стали в ковше (при наличии обработки);
  • значения приемочных чисел для двух и шести испытаний, определенных в соответствии с п. 3.1 приложения 3;
  • значения ударной вязкости для образцов с концентратором вида V при температуре минус 40 °С;
  • класс сплошности листового проката при ультразвуковом контроле.

3.3. Для проверки механических свойств проката от партии случайно отбирают две штанги, двеуниверсальных полосы, два листа, два рулона. Случайность обеспечивается методом систематического отбора по ГОСТ 18321.

3.4. Объем выборки для проверки качества поверхности и размеров — по ГОСТ 14637, ГОСТ16523, ГОСТ 535, для ультразвукового контроля сплошности листового проката — по ГОСТ 14637.

3.5. Испытание на изгиб фасонного проката толщиной до 20 мм изготовитель проводит накаждой двадцатой партии.

3.6. При получении неудовлетворительных результатов испытаний на изгиб, ударную вязкость,при контроле качества поверхности и размеров повторные испытания проводят на выборке, отобранной по ГОСТ 7566.

При получении неудовлетворительных результатов испытаний по пределу текучести, временному сопротивлению и относительному удлинению повторные испытания проводят на выборке, отобранной в соответствии с приложением 3.

Результаты испытаний распространяют на всю партию.

При получении неудовлетворительных результатов испытаний при УЗК изготовитель проводит испытания на каждом листе партии.

4. МЕТОДЫ КОНТРОЛЯ

4.1. Отбор проб для определения химического состава стали проводят по ГОСТ 7565.

4.2. Химический анализ стали проводят по ГОСТ 12346 — ГОСТ 12348, ГОСТ 12350 — ГОСТ12352, ГОСТ 12355 — ГОСТ 12359, ГОСТ 12361, ГОСТ 12364, ГОСТ 17745, ГОСТ 18895, ГОСТ22536.0 — ГОСТ 22536.12, ГОСТ 27809, ГОСТ 28473 или другими методами, обеспечивающиминеобходимую точность анализа.

При разногласиях между изготовителем и потребителем оценку проводят стандартными методами.

4.3. Углеродный эквивалент (СЭ), %, определяют по формуле

 (1)

где С, Mn, Si, Cr, Ni, Cu, V, P — массовые доли углерода, марганца, кремния, хрома, никеля, меди, ванадия и фосфора, %.

4.4. Расслоение проката контролируют при порезке у изготовителя и потребителя осмотромкромок.

4.5. Ультразвуковой контроль сплошности листового проката проводят в соответствии сГОСТ 22727.

(Измененная редакция, Изм. № 1).

4.6. Отбор проб и изготовление образцов для механических и технологических испытаний проводят по ГОСТ 7564. Из фасонного проката и универсальной полосы образцы вырезают вдоль, излистового — поперек направления прокатки.

4.7. От каждой отобранной для контроля штанги, листа, универсальной полосы, рулона отбирают пробы и изготовляют для испытания на растяжение, изгиб и определение количества волокнав изломе по одному образцу, для определения ударной вязкости — по два образца для каждойтемпературы.

Контроль гнутых профилей проводят по заготовке.

4.8. Испытание на растяжение проводят на образцах пятикратной длины по ГОСТ 1497. Дляпроката толщиной менее 3 мм ширина образца — 15 мм. Предел текучести определяют по диаграммерастяжения.

4.9. Контроль предела текучести, временного сопротивления и относительного удлинения проводят по методике, приведенной в приложении 3.

При возникновении разногласий испытывают шесть образцов, отобранных случайно по ГОСТ 18321.

4.10. Испытание на изгиб проводят по ГОСТ 14019.

4.11. Определение ударной вязкости проводят для проката номинальной толщиной 5 мм иболее по ГОСТ 9454 на образцах с концентратором вида U.

Ударную вязкость проката номинальной толщиной до 10 мм включительно определяют на образцах толщиной, равной толщине проката. Для проката толщиной более 10 мм ударную вязкостьопределяют на образцах типа 1 по ГОСТ 9454.

Кроме того, ударную вязкость листового проката из стали С390, С390К, С440, С590 и С590К при температуре минус 40 °С определяют на образцах типа 11, вырезанных поперек направленияпрокатки.

4.12. Ударную вязкость после механического старения определяют по ГОСТ 7268 на образцах сконцентратором вида U. Толщина образцов должна соответствовать принятой в п. 4.11.

4.13. В листовом прокате из стали С590К (С590КШ) определяют по ГОСТ 5521 количествоволокна в изломе при плюс 20 °С на образцах толщиной, равной толщине листа.

5. ТРАНСПОРТИРОВАНИЕ И ХРАНЕНИЕ

5.1. Транспортирование и хранение — по ГОСТ 7566 с дополнением: для фасонного проката —по ГОСТ 535, для листового и широкополосного универсального — по ГОСТ 14637, ГОСТ 16523, адля гнутых профилей — по ГОСТ 11474.

5.1.1. Железнодорожным транспортом прокат транспортируется на платформах и в полувагонах.Вид отправки — повагонный.

ПРИЛОЖЕНИЕ 1

Справочное

МАРКИ ПО ДЕЙСТВУЮЩЕЙ НОРМАТИВНО-ТЕХНИЧЕСКОЙ ДОКУМЕНТАЦИИ

ПРИЛОЖЕНИЕ 2

Обязательное

Прокат угловой равнополочный, обычной точности прокатки (В), размером 75-75-6 мм по ГОСТ 8509-86 из стали С245 по ГОСТ 27772-88:

Балка двутавровая № 20 по ГОСТ 8239-72 из стали С275 по ГОСТ 27772-88:

Швеллер J№ 18 с уклоном внутренних граней полок по ГОСТ 8240-72 из стали С285 по ГОСТ 27772-88:

Прокат листовой размером 10-1000-2000 мм, повышенной точности (А), высокой плоскостности (ПВ), с обрезной кромкой (О), из стали С390 по ГОСТ 27772-88:

Прокат листовой размером 8-1000-2000 мм, нормальной точности (Б), улучшенной плоскостности (ПУ), с необрезной кромкой (НО), по ГОСТ 19903-74 из стали С345 с повышенным содержанием меди (Д),категории 3 по ГОСТ 27772-88:

ПРИЛОЖЕНИЕ 3

Обязательное

МЕТОДИКА КОНТРОЛЯ И ОЦЕНКИ МЕХАНИЧЕСКИХ СВОЙСТВ ПРОКАТА

Настоящая методика предназначена для оценивания соответствия механических свойств партии проката требованиям стандарта.

Заданная вероятность выполнения норм предела текучести, временного сопротивления и относительного удлинения каждой партии и всего объема поставляемого проката достигается статистической оценкой уровня и неоднородности свойств металла при определенном технологическом процессе, а также процедурой контроля, предусмотренными настоящим стандартом и осуществляемыми изготовителем.

1. Общие положения

1.1. Термины, основные понятия и обозначения - в соответствии с ГОСТ 16504, ГОСТ 15895*,ГОСТ 15467 и другой нормативно-технической документацией.

1.2. Вероятность выполнения норм стандарта по пределу текучести, временному сопротивлению и относительному удлинению в каждой партии проката должна быть не ниже 0,95.

1.3.Оценивание соответствия механических свойств каждой партии требованиям стандарта и дифференцирование партий по прочности сталей С245 и С275, а также С255 и С285, С345 и С375 осуществляется на основании результатов испытаний образцов, отобранных и изготовленных в соответствии с пп. 3.3, 4.6, 4.7настоящего стандарта, или с помощью уравнений регрессии, отражающих связь между пределом текучести,временным сопротивлением и относительным удлинением с одной стороны и плавочным химическим составом, размером профиля и прочими регистрируемыми технологическими факторами с другой.

2. Требования к выборке, статистики распределений

2.1. Механические свойства проката, изготовленного из одной стали, на одном стане, одного или группыблизких профилеразмеров, одного варианта химического состава образуют генеральную совокупность.

Оценивание параметров, отражающих уровень и неоднородность контролируемой характеристики проката в генеральной совокупности, проводится на основании результатов первичных испытаний, образующих выборку.

На территории Российской Федерации действуют ГОСТ Р 50779.10-2000, ГОСТ Р 50779.11-2000.

2.2. Для проката из стали С245 и С275; С255 и С285; С345 и С375 попарно формируется общая выборка.

2.3. Выборка должна быть представительной и включать все результаты первичных испытаний за достаточно длительный промежуток времени (не менее полугода), в течение которого технологический процесс непретерпевал направленных изменений (смена агрегатов, способов разливки, изменение сырья, развеса слитка, температурного режима прокатки и т. п.). Минимальный объем выборки (N) 250 партий-плавок. Для получения представительных выборок возможна группировка профилей разных размеров в одну совокупность спроверкой неоднородности общей выборки.

2.4. При статистической обработке результатов испытаний, образующих выборку, определяют выборочное среднее (X) по формуле

 (2)

где Xl, X2 ... XN — совокупность значений случайной величины X, образующих выборку, и несмещенную оценку среднего квадратического отклонения (S) по формуле

 (3)

а также разность (h) между X и нормативным значением (С), приведенным в табл. 3 и 4 настоящего стандарта.

Величина h для предела текучести и временного сопротивления должна быть не менее 1,645. Если это условие для каких-либо выборок не выполняется, то изготовление этого вида проката по настоящему стандарту не допускается.

2.5. Распределение характеристики в выборке предполагается соответствующим нормальному закону.Проверка гипотезы о нормальном законе распределения выполняется в соответствии с нормативно-технической документацией. Уровень значимости согласия эмпирического и нормального распределений должен бытьне ниже 0,01.

Оценивание анормальности результатов испытаний, вошедших в выборку, проволят по нормативнотехнической документации при уровне значимости, равном 0,05.

2.6. Оценку среднеквадратического отклонения предела текучести, временного сопротивления и относительного удлинения в партии определяет предприятие-изготовитель экспериментально. Испытывается не менее трех случайных партий проката, входящих в данную генеральную совокупность. От каждой партии испытывается не менее 50 образцов, отобранных случайно. Случайность обеспечивается соответствием ГОСТ 18321.

Для последующего использования принимается величина 50, полученная как среднеарифметическое значение выборочных среднеквадратических отклонений в испытанных партиях, вычисленных по формуле (3).

Если для предела текучести и временного сопротивления полученное значение 50 меньше 10 Н/мм2 (1 кгс/мм2), принимается 50 = 10 Н/мм2(1кгс/мм2).

3. Оценивание соответствия механических свойств партий листового,широкополосного и фасонного проката требованиям стандарта

3.1. Механические свойства партии проката оценивают по результатам испытания на растяжение двух

образцов (п = 2). Среднеарифметические значения (Xn) этих результатов для предела текучести, временного

сопротивления и относительного удлинения должна быть не меньше соответствующих значений приемочных чисел (Сп), определяемых по формуле

 (4)

где 

При этом значения временного сопротивления при испытании каждого из образцов партии проката из сталей, указанных в п. 2.20 стандарта, должны быть не больше величины С + 180 (Н/мм2).

3.2. Если при испытании на растяжение двух образцов требование п. 3.1 настоящего приложения невыполняется хотя бы для одной из характеристик, то проводится испытание еще четырех образцов, отобранных от четырех разных листов или штанг. Результаты испытаний считаются удовлетворительными, если дляпредела текучести, временного сопротивления и относительного удлинения Хп не меньше Сп при п = 6.

При необходимости формирования выборки используют результаты первых двух испытаний.

При этом значения временного сопротивления при испытании каждого из четырех образцов партии проката из сталей, указанных в п. 2.20 стандарта, должны быть не больше величины С + 180 (Н/мм2).

3.3. Для сталей С235, С245, С255, С275, С285, С345, С375 оценивание соответствия механических свойствпартий проката требованиям стандарта может проводиться с помощью уравнений регрессии в соответствии сОСТ 14-34.

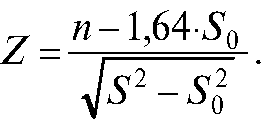
3.4. При статистическом оценивании соответствия механических свойств партий проката требованиямстандарта с помощью уравнений регрессии минимальное количество партий, подвергаемых прямым испытаниям на растяжение, устанавливается в зависимости от меньшего из значений параметра Z, вычисленных дляпредела текучести, временного сопротивления и относительного удлинения по формуле

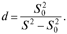
 (5)

При Z > 2,0 — испытывается не менее одной из 10 партий; при 1,6 < Z < 2,0 — испытывается не менее одной из 5 партий;при Z < 1,6 — испытывается каждая партия.

3.5. Оценивание надежности прогнозирования механических свойств по уравнениям регрессии с помощью контрольных карт и контроль стабильности качества проката проводят в соответствии с ОСТ 14-34.

4.1. Оценивание соответствия уровня механических свойств партии проката, поставляемого в рулонах,требованиям стандарта осуществляется с использованием статистических зависимостей и учетом разницы вуровне прочностных и пластических характеристик наружных витков и средней части рулона.

4.2. Статистические зависимости могут быть выражены уравнениями регрессии, отражающими связьпредела текучести, временного сопротивления и относительного удлинения в средней части рулона с результатами испытаний наружных витков, плавочным химическим составом, толщиной листа, температурнымирежимами прокатки и смотки в рулон, а также с другими регистрируемыми параметрами, получаемыми прииспользовании неразрушающих методов контроля.

4.3. Выборка, используемая для оценивания уровня и неоднородности механических свойств проката,поставляемого в рулонах, составляется по результатам испытаний образцов, случайно отобранных из среднейчасти рулонов при их порезке на листы. В выборку включают результаты испытания образцов, отобранных неменее чем от 50 партий-плавок. От каждой партии образцы отбирают от равного числа рулонов (не менее двух),от каждого рулона отбирается равное число образцов. Для выборки определяют значения X , S и h.

Остальные требования к выборкам, характеризующим механические свойства проката, поставляемого в рулонах, — в соответствии с пп. 2.1—2.5 настоящего приложения.

Выборки для характеристик, являющихся аргументами в уравнениях регрессии, составляют в соответствующих объемах.

4.4. Прогнозирование и оценивание соответствия свойств партии проката, поставляемого в рулонах,требованиям стандарта с помощью уравнений парной и множественной регрессии допускается при величинекоэффициента парной и, соответственно, множественной корреляции не ниже 0,4 и проводится в соответствии с пп. 3.1, 3.2, 3.4 настоящего приложения.

4.5. Если требование п. 4.4 настоящего приложения не выполняется в части величины коэффициентакорреляции, то предприятие-изготовитель проводит оценивание соответствия свойств проката, поставляемогов рулонах, в соответствии с требованиями, излагаемыми в пп. 4.5.1—4.5.3.

4.5.1. Для предела текучести, временного сопротивления и относительного удлинения определяется экспериментальная величина S0, для чего испытывается прокат не менее трех случайных партий, входящих в данную генеральную совокупность. От каждой партии отбирают три рулона, от каждого рулона — не менее 20образцов равномерно по длине раската.

Остальные требования по определению величины S0 — в соответствии с п. 2.6 настоящего приложения.

4.5.2. Для предела текучести, временного сопротивления и относительного удлинения, кроме выборок,составляемых в соответствии с требованиями п. 4.3, параллельно формируется выборка случайнойвеличины — А. Величина А — разность среднеарифметического значения результатов испытаний двух образцов,отобранных от наружных витков двух рулонов партии, и среднеарифметического значения результатов испытаний такого же числа образцов, отобранных от средней части этих же рулонов.

Для величины А определяются выборочное среднее (А) и среднеквадратическое отклонение (SA).

4.5.3. Для оценивания соответствия партии проката требованиям стандарта проводят испытание двухобразцов, отобранных из наружных витков двух случайных рулонов партии, и определяют среднеарифметическое значение (Xn) результатов этих испытаний.

Расчетные значения предела текучести, временного сопротивления и относительного удлинения определяют по формуле

  (6)

Расчетные значения должны быть не меньше приемочного числа Cn, определяемого по формуле п. 3.1 настоящего приложения, при n = 2.

4. Оценивание соответствия механических свойств рулонного проката требованиям стандарта

ИНФОРМАЦИОННЫЕ ДАННЫЕ

1. РАЗРАБОТАН Минчерметом СССР, Госстроем СССР, Минмонтажспецстроем СССР, АН УССР

ВНЕСЕН Минчерметом СССР

2. УТВЕРЖДЕН И ВВЕДЕН В ДЕЙСТВИЕ Постановлением Государственного комитета СССР постандартам от 30.06.88 № 2564

3. ВВЕДЕН ВПЕРВЫЕ

4. ССЫЛОЧНЫЕ НОРМАТИВНО-ТЕХНИЧЕСКИЕ ДОКУМЕНТЫ

5. Ограничение срока действия снято по протоколу № 7—95 Межгосударственного совета по стандартизации, метрологии и сертификации (ИУС 11—95)

6. ИЗДАНИЕ с Изменением № 1, утвержденным в июне 1989 г. (ИУС 11—89)