ГОСТ 10884-94
| Скачать |
МЕЖГОСУДАРСТВЕННЫЙ СТАНДАРТ
СТАЛЬ АРМАТУРНАЯ ТЕРМОМЕХАНИЧЕСКИ УПРОЧНЕННАЯ ДЛЯ ЖЕЛЕЗОБЕТОННЫХ КОНСТРУКЦИЙ
Технические условия
Thermomechanically hardened steel bars for reinforced concrete constructions. Specifications
ГОСТ 10884-94
MKC 77.140.15
Дата введения 1996-01-01
1 Область применения
Настоящий стандарт распространяется на термомеханически упрочненную арматурную сталь гладкую и периодического профиля диаметром 6—40 мм, предназначенную для армирования железобетонных конструкций.
Стандарт содержит сертификационные требования к термомеханически упрочненной арматурной стали для железобетонных конструкций.
2 Нормативные ссылки
В настоящем стандарте использованы ссылки на следующие стандарты:
ГОСТ 380—94 Сталь углеродистая обыкновенного качества. Марки ГОСТ 2999—75 Металлы и сплавы. Метод измерения твердости по ВиккерсуГОСТ 5781—82 Сталь горячекатаная для армирования железобетонных конструкций. Технические условия
ГОСТ 7564—97 Прокат. Общие правила отбора проб, заготовок и образцов для механических и технологических испытаний
ГОСТ 7565—81 (ИСО 377-2—89) Чугун, сталь и сплавы. Метод отбора проб для определения химического состава
ГОСТ 7566—94 Металлопродукция. Приемка, маркировка, упаковка, транспортирование и хранение
ГОСТ 10243—75 Сталь. Методы испытаний и оценки макроструктуры ГОСТ 12004—81 Сталь арматурная. Методы испытаний на растяжение
ГОСТ 12344—88 Стали легированные и высоколегированные. Методы определения углерода ГОСТ 12345—2001 (ИСО 671—82, ИСО 4935—89) Стали легированные и высоколегированные.Методы определения серы
ГОСТ 12346—78 (ИСО 439—82, ИСО 4829-1—86) Стали легированные и высоколегированные. Методы определения кремния
ГОСТ 12347—77 Стали легированные и высоколегированные. Методы определения фосфора ГОСТ 12348—78 (ИСО 629—82) Стали легированные и высоколегированные. Методы определения марганца
ГОСТ 12350—78 Стали легированные и высоколегированные. Методы определения хрома ГОСТ 12352—81 Стали легированные и высоколегированные. Методы определения никеля
ГОСТ 12355—78 Стали легированные и высоколегированные. Методы определения меди ГОСТ 12356—81 Стали легированные и высоколегированные. Метод определения титанаГОСТ 12357—84 Стали легированные и высоколегированные. Методы определения алюминияГОСТ 12358—82 Стали легированные и высоколегированные. Методы определения мышьякаГОСТ 12359—99 (ИСО 4945—77) Стали углеродистые, легированные и высоколегированные.Методы определения азота
ГОСТ 12360—82 Стали легированные и высоколегированные. Методы определения бора ГОСТ 14019—80 (ИСО 7438—85) Металлы. Методы испытания на изгибГОСТ 14098—91 Соединения сварные арматуры и закладных изделий железобетонных конструкций. Типы, конструкция и размеры
ГОСТ 18895—97 Сталь. Метод фотоэлектрического спектрального анализа
3 Определения
В настоящем стандарте применяются следующие термины с соответствующими определениями:
3.1 арматурная сталь периодического профиля: Стержни с равномерно расположенными на ихповерхности под углом к продольной оси стержня поперечными выступами (рифлением) для улучшения сцепления с бетоном.
3.2 арматурная сталь гладкая: Круглые стержни с гладкой поверхностью, не имеющей рифления для улучшения сцепления с бетоном.
3.3 класс прочности: Установленное стандартом нормируемое значение физического или условного предела текучести стали.
3.4 угол наклона поперечных выступов: Угол между поперечными выступами (рифлением) ипродольной осью стержня.
3.5 шаг поперечных выступов: Расстояние между центрами двух последовательных поперечныхвыступов, измеренное параллельно продольной оси стержня.
3.6 высота поперечных выступов: Расстояние от наивысшей точки поперечного выступа доповерхности сердцевины стержня периодического профиля, измеренное под прямым углом к продольной оси стержня.
3.7 номинальный диаметр арматурной стали периодического профиля (номер профиля): Диаметрравновеликого по площади поперечного сечения круглого гладкого стержня (таблица 1).
3.8 номинальная площадь поперечного сечения: Площадь поперечного сечения, эквивалентнаяплощади поперечного сечения круглого гладкого стержня того же номинального диаметра.
4 Основные параметры и размеры
4.1 Арматурную сталь подразделяют на классы в зависимости:
- от механических свойств — классы прочности (установленного стандартом нормируемогозначения условного или физического предела текучести в ньютонах на квадратный миллиметр);
- от эксплуатационных характеристик — на свариваемую (индекс С), стойкую против коррозионного растрескивания (индекс К).
4.2 Арматурную сталь изготовляют классов: Ат400С, Ат500С, Ат600, Ат600С, Ат600К, Ат800,Ат800К, Ат1000, Ат1000К и Ат1200.
4.3 Арматурную сталь изготовляют с периодическим профилем согласно рисунку 1 или ГОСТ 5781.
Размеры периодического профиля, соответствующего рисунку 1, приведены в таблице 1.
По согласованию изготовителя с потребителем арматурную сталь класса прочности Ат800 и выше допускается изготовлять гладкой.
4.4 Арматурная сталь с профилем, соответствующим рисунку 1, представляет собой круглыестержни с двумя продольными ребрами или без них и с расположенными под углом к продольнойоси стержня поперечными серповидными выступами высотой h по середине, не пересекающимися
с продольными ребрами и идущими по многозаходной винтовой линии, имеющей на сторонах профиля разное направление.
4.4.1 Угол между поперечными выступами и продольной осью стержня р рекомендуется принимать равным 45°.
Допускается указанный угол принимать от 35° до 70°.
4.4.2 Угол наклона боковых граней поперечных выступов ав должен быть от 30° до 45°.
4.4.3 Расстояние между окончаниями поперечных выступов С не должно превышать значений,указанных в таблице 1.

Рисунок 1
Таблица 1
В миллиметрах

* Предельные отклонения составляют ±15 %.
4.4.4 Для арматурной стали диаметрами 6, 8 и 10 мм допускается сопряжение продольногоребра с поперечными выступами равной высоты при отношении h/t > 0,075.
Значения и допускаемые отклонения размера d2 соответствуют приведенным в таблице 1 для размера d1.
Овальность стержней (разность между d1 и d2 в одном сечении) не должна превышать суммы плюсового и минусового предельных отклонений по размеру d1.
4.4.5 Размеры, на которые не установлены предельные отклонения, приведены для построения калибра и на готовом прокате их не контролируют.
4.5 Номинальные диаметры арматурной стали, площади поперечного сечения, линейная плотность (масса стержня длиной 1 м), предельные отклонения по размерам и массе, овальность икривизна стержней должны соответствовать установленным таблицей 1 и ГОСТ 5781.
Примечание — Номинальный диаметр арматурной стали периодического профиля (номер профиля) соответствует номинальному диаметру равновеликой по площади поперечного сечения гладкой арматурной стали.
4.6 Арматурную сталь диаметром 10 мм и более изготовляют в виде стержней длиной, оговоренной в заказе.
Арматурную сталь диаметром 6 и 8 мм изготовляют в мотках. Изготовление арматурной стали классов Ат400С, Ат500С и Ат600С диаметром 10 мм допускается в мотках.
4.6.1 Стержни изготовляют мерной длины от 5,3 до 13,5 м. Допускается изготовление стержнеймерной длиной до 26 м.
Длина стержней — по требованию потребителя.
4.6.2 Свариваемую арматурную сталь допускается поставлять в виде стержней:
- мерной длины с немерными отрезками длиной не менее 2 м в количестве не более 15 %массы партии;
- немерной длины от 6 до 12 м. В партии такой арматурной стали допускается наличие стержней длиной от 3 до 6 м в количестве не более 7 % массы партии.
4.7 Предельные отклонения по длине стержней мерной длины должны соответствовать требованиям ГОСТ 5781.
4.8 Обозначение арматурной стали должно содержать:
- номинальный диаметр (номер профиля), мм;
- обозначение класса прочности (4.1);
- обозначение ее эксплуатационных характеристик — свариваемости (индекс С), стойкости против коррозионного растрескивания (индекс К).
Примеры условныхобозначений
Арматурная сталь диаметром 20 мм, класса прочности Ат800:
20Ат800 ГОСТ 10884-94
То же, диаметром 10 мм, класса прочности Ат400, свариваемой (С):
10Ат400С ГОСТ 10884-94
То же, диаметром 16 мм, класса прочности Ат600, стойкой против коррозионного растрескивания (К):
16Ат600К ГОСТ 10884-94
5 Технические требования
5.1 Арматурную сталь изготовляют в соответствии с требованиями настоящего стандарта потехнологическому регламенту, утвержденному в установленном порядке.
5.2 Арматурная сталь изготовляется из углеродистой и низколегированной стали с массовойдолей химических элементов по ковшовой пробе, приведенной в таблице 2.
Таблица 2

5.3 Для свариваемой арматурной стали класса Ат400С углеродный эквивалент, определяемыйпо формуле Сэкв = С + Mn/8 + Si/7, должен быть не менее 0,32 %, класса Ат500С — не менее 0,40 %,класса Ат600С — не менее 0,44 %.
В указанной формуле С, Mn и Si — массовые доли соответствующих химических элементов.
5.4 Предельные отклонения по химическому составу в готовом прокате от норм, установленных таблицей 2, должны соответствовать приведенным в таблице 3.
Таблица 3

5.5 Свариваемость и стойкость против коррозионного растрескивания арматурной стали обеспечиваются химическим составом и технологией изготовления в соответствии с приложением Б.
5.6 Механические свойства арматурной стали до и после электронагрева, а также результатыиспытаний ее на изгиб должны соответствовать требованиям, установленным таблицей 4.
Таблица 4

* Для арматурной стали класса Ат800К диаметром 18—32 мм.
Примечания
- Для арматурной стали класса Ат600С допускается снижение временного сопротивления разрыву на 50 Н/мм2 ниже норм, установленных таблицей, при увеличении относительного удлинения δ5 на 2 % (абс.)и равномерного удлинения δр на 1 % (абс.).
- Для арматурной стали классов Ат400С, Ат500С и Ат600С в стержнях временное сопротивление разрыву не должно превышать значений, приведенных в таблице, более чем на 200 Н/мм2.
- Для арматурной стали класса прочности Ат1200 в состоянии поставки допускается снижение условного предела текучести до 1150 Н/мм2.
- При испытании арматурной стали классов прочности Ат800, Ат1000 и Ат1200 непосредственнопосле прокатки допускается снижение показателей пластичности на 1 % (абс.).
Статистические показатели механических свойств арматурной стали должны соответствовать установленным таблицей 5 и приложением В.
Таблица 5

Примечания
- — среднеквадратическое отклонение параметра в генеральной совокупности испытаний;
- S0 — среднеквадратическое отклонение параметра в партии;
- X — среднее значение параметра в генеральной совокупности испытаний;
- X — минимальное среднее значение параметра в партии.
- Для арматурной стали классов Ат400С и Ат500С диаметром 6—10 мм в мотках значения S, S0, S / X и S0 / X принимают в соответствии с ГОСТ 5781 для арматурной стали класса А-III.
5.7 По требованию потребителя регламентируют требования по релаксации напряжений, усталостной прочности и по испытанию на изгиб с разгибом.
5.7.1 Для арматурной стали классов прочности Ат800, Ат1000 и Ат1200 релаксация напряжений не должна превышать 4 % за 1000 ч при исходном усилии, составляющем 70 % максимальногоусилия, соответствующего временному сопротивлению разрыва по таблице 4.
Нормы не являются браковочными до 01.01.97.
5.7.2 Арматурная сталь классов прочности Ат800, Ат1000 и Ат1200 должна выдерживать безразрушения 2 млн. циклов напряжения, составляющего 70 % номинального предела прочности нарастяжение. Интервал напряжения для гладкой арматурной стали должен составлять 245 Н/мм2, дляарматурной стали периодического профиля — 195 Н/мм2.
Нормы не являются браковочными до 01.01.97.
5.7.3 Для арматурной стали классов Ат400С, Ат500С и Ат600С испытание на изгиб может бытьзаменено испытанием на изгиб с разгибом в соответствии с приложением Г.
После испытания ни один из испытываемых образцов не должен иметь разрывов или трещин, видимых невооруженным глазом.
5.8 Для арматурной стали классов прочности Ат800, Ат1000 и Ат1200 условный предел упругости σ0,02 должен быть не менее 0,85σ0,2.
5.9 Качество поверхности арматурной стали должно соответствовать требованиям ГОСТ 5781.
5.10 Маркировка, наносимая при прокатке
5.10.1 Арматурная сталь периодического профиля имеет маркировку класса прочности и предприятия-изготовителя, наносимую при ее прокатке в виде маркировочных коротких поперечныхребер или точек на поперечных выступах, в соответствии с приложением Д.
5.10.2 Маркировочные короткие поперечные ребра высотой 0,5 мм, не выходящие за пределыгабаритного размера по окружности диаметром d1, располагают на поверхностях, примыкающих кпродольным ребрам (рисунки 1а и 1в).
5.10.3 Маркировочные точки высотой, равной высоте поперечного выступа, представляютсобой конусообразные утолщения на поперечныхвыступах (рисунок 1б).
Диаметр основания конусообразного утолщения приведен в таблице 1.
5.10.4 Класс прочности арматурной сталиобозначают числом поперечных выступов согласно таблице 6 в интервале t1 по рисунку 1.
5.11 При отсутствии прокатной маркировкиконцы стержней или связки арматурной стали соответствующего класса должны быть окрашенынесмываемой краской следующих цветов:
Ат400С — белой;
Ат500С — белой и синей;
Ат600 — желтой;
Ат600С — желтой и белой;
Ат600К — желтой и красной;
Ат800 — зеленой;
Ат800К — зеленой и красной;
Ат1000 — синей;
Ат1000К — синей и красной;
Ат1200 — черной.
Допускается окраска связок на расстоянии 0,5 м от концов.
5.12 Стержни упаковывают в связки массой до 10 т, перевязанные проволокой. По требованиюпотребителей стержни упаковывают в связки массой до 3 т.
5.13 При поставке в мотках каждый моток должен состоять из одного отрезка арматурной стали.Масса мотка — до 3 т.
Моток должен быть равномерно перевязан по окружности не менее чем в четырех местах. Каждая из этих вязок должна иметь промежуточную стяжку (вязку), которая располагается на уровне средней толщины мотка.
Таблица 6

5.14 К каждому мотку или связке стержней должен быть прочно прикреплен ярлык, на котором указывают:
- товарный знак или товарный знак и наименование предприятия-изготовителя;
- условное обозначение арматурной стали (4.8);
- номер партии;
- клеймо технического контроля.
5.15 При несоответствии механических свойств арматурной стали маркировке, нанесеннойпри ее прокатке, фактический класс прочности должен быть указан на ярлыке и в документе окачестве, а концы стержней должны быть окрашены краской в соответствии с 5.11.
6 Правила приемки
6.1 Арматурную сталь принимают партиями.
Партия должна состоять из арматурной стали одного класса и одного диаметра, изготовленной из одной плавки-ковша.
Масса партии — по ГОСТ 5781.
6.2 Для контроля геометрических параметров арматурной стали и ее линейной плотности (массы стержня длиной 1 м) от партии отбирают:
- при поставке в стержнях — не менее 5 % от партии;
- при поставке в мотках — два мотка.
6.3 Для проверки химического состава стали отбирают одну пробу от плавки-ковша.
Отбор проб — по ГОСТ 7565.
6.4 Для контроля механических свойств арматурной стали от партии отбирают для испытанияна растяжение до и после электронагрева по два образца.
Для испытания на изгиб от партии отбирают два образца.
6.5 Контроль временного сопротивления разрыву и условного предела текучести после электронагрева проводят при отсутствии в технологическом процессе специального отпуска или наличииотпуска с нагревом ниже температур, указанных в таблице 4.
6.6 Для контроля релаксации напряжений, усталостной прочности и изгиба с разгибом (прирегламентации этих параметров по требованию потребителя) от партии отбирают для испытаний:
- на релаксацию напряжений и изгиб с разгибом — по четыре образца;
- на усталостную прочность — шесть образцов.
6.7 Отбор образцов для контроля механических свойств и испытаний на изгиб, а также нарелаксацию напряжений, усталостную прочность и изгиб с разгибом проводят по ГОСТ 7564.
Интервал отбора образцов должен быть не менее половины времени, затраченного на прокатку арматурной стали этой партии.
6.8 Определение статистических показателей прочностных характеристик арматурной стали —в соответствии с приложением Б.
6.9 Контроль механических свойств допускается проводить неразрушающими методами в соответствии с нормативно-технологической документацией.
6.10 При получении неудовлетворительных результатов испытания хотя бы по одному из показателей, повторные испытания следует проводить по ГОСТ 7566.
6.11 Партия арматурной стали должна сопровождаться документом о качестве по ГОСТ 7566 сдополнительными данными:
- номинальный диаметр (номер профиля), мм;
- класс арматурной стали;
- механические свойства до и после электронагрева;
- минимальное среднее значение Xi и среднеквадратическое отклонение S0 значений временного сопротивления разрыву σв и предела текучести σ0,2(σт) в партии;
- результаты испытаний на изгиб в холодном состоянии;
- значения равномерного удлинения.
При регламентации по требованию потребителя релаксации напряжений, усталостной прочности и изгиба с разгибом (5.7) в документе о качестве приводят результаты испытаний этих характеристик.
По требованию потребителя должен быть указан химический состав стали.
7 Методы контроля
7.1 Геометрические параметры арматурной стали проверяют измерительным инструментомнеобходимой точности.
7.1.1 Диаметр и овальность арматурной стали определяют как среднеарифметическое значениетрех измерений, проведенных на участке длиной 1 м.
7.1.2 Высоту выступов определяют как среднеарифметическое значение измерений в серединедвух соседних выступов каждого ряда рифления с точностью 0,01 мм.
7.1.3 Шаг поперечных выступов и расстояние между окончаниями поперечных выступов С(рисунок 1) определяют как среднеарифметическое значение трех измерений каждого рифления сточностью 0,1 мм.
7.1.4 Размеры измеряют на расстоянии не менее 150 мм от конца стержня или не менее3000 мм от конца мотка.
7.2 Линейную плотность арматурной стали определяют как среднеарифметическое значениемассы двух образцов длиной 1 м, взвешенных с точностью до 0,01 кг. Длину образца измеряют сточностью 0,001 м.
7.3 Химический состав стали определяют по ГОСТ 12344 — ГОСТ 12348, ГОСТ 12350, ГОСТ12352, ГОСТ 12355, ГОСТ 12356 — ГОСТ 12360, ГОСТ 18895 или другими методами, не уступающими по точности измерения требованиям указанных стандартов.
При разногласиях в оценке результатов химический состав стали следует определять установленными этими стандартами методами.
7.4 Испытание на растяжение — по ГОСТ 12004.
Для определения механических свойств следует применять номинальную площадь поперечного сечения арматурной стали.
7.5 Методика нагрева образцов для контроля временного сопротивления разрыву и условногопредела текучести после нагрева устанавливается по согласованию изготовителя с потребителем.
Допускается применение печного нагрева при температурах на 50 °С ниже указанных в таблице 4 и выдержке образцов после их нагрева 15 мин.
7.6 Испытание на изгиб в холодном состоянии — по ГОСТ 14019 на образцах сечением, равным сечению проверяемого профиля.
7.7 Испытание на релаксацию напряжений, усталостную прочность и изгиб с разгибом проводят по нормативно-технической документации.
8 Транспортирование и хранение
Транспортирование и хранение — по ГОСТ 7566.
ПРИЛОЖЕНИЕ А
(рекомендуемое)
Рекомендуемые марки стали
1 Рекомендуемые марки углеродистой и низколегированной стали для изготовления арматурной сталисоответствующих классов приведены в таблице А.1.
Таблица А.1

2 Химический состав углеродистой стали — по РОСТ 380, низколегированной — по нормам, приведенным в таблице А.2, марок 35РС и 25Р2С — по РОСТ 5781 с дополнительными требованиями по пункту 3настоящего приложения.
3 В стали марки 35РС, предназначенной для изготовления арматурной стали классов Ат600С, Ат800 и Ат800К, массовая доля углерода должна быть 0,28 % — 0,33 %, а массовая доля марганца 0,9 % — 1,2 %.
Таблица А.2

Примечания
- В стали марки 08Г2С, предназначенной для изготовления арматурной стали класса Ат600К, массоваядоля кремния должна быть 0,6 % — 1,2 %.
- Для стали, из которой изготовляют арматурную сталь классов Ат600, Ат600С, Ат600К, Ат800 и Ат800К, допускается увеличение массовой доли серы и фосфора до 0,045 % каждого.
- Для стали марки 25С2Р массовая доля бора должна быть 0,001 % — 0,005 %, титана — 0,01 % —0,03 %.
- Для арматурной стали всех классов массовая доля мышьяка должна быть не более 0,08 %.
- Для стали марки 22С массовая доля титана должна быть не более 0,05 %, алюминия — не более0,10 %.
- Предельные отклонения по химическому составу в готовом прокате из углеродистой стали — поГОСТ 380, из низколегированной стали — по таблице А.3.
Таблица А.3

Примечание — Для арматурной стали классов прочности Ат600, Ат800 и Ат1000 (кроме стали марки 35ГС) при соблюдении норм механических свойстви стойкости против коррозионного растрескивания минусовые отклонения похимическому составу (исключая кремний) не являются браковочным признаком.
5 Арматурная сталь классов Ат800К, изготовленная из стали марки 35ГС, должна иметь на поверхностиотпущенный слой толщиной не менее 0,3 мм и твердостью не более 280 HV.
5.1 Контроль толщины отпущенного слоя и его твердости проводят на двух образцах, отобранных отпартии.
Отбор темплетов для контроля толщины и твердости поверхностного отпущенного слоя проводят по ГОСТ 10243.
5.2 Определение толщины и твердости поверхностного отпущенного слоя проводят на протравленныхтемплетах (толщина слоя контролируется по минимальной глубине во впадине между поперечными выступамипрофиля). Измерение твердости — по ГОСТ 2999.
6 Арматурная сталь классов Ат800 и Ат800С, изготовляемая из стали марки 35ГС, должна подвергаться100 %-ному неразрушающему контролю по длине стержней на соответствие временного сопротивления разрыву (таблица 4 настоящего стандарта).
ПРИЛОЖЕНИЕ Б
(обязательное)
Требования к стойкости против коррозионного растрескивания и свариваемости арматурной стали
1 Стойкость против коррозионного растрескивания и свариваемость арматурной стали обеспечиваютсяее химическим составом в соответствии с требованиями 5.2—5.4 настоящего стандарта, уровнем ее механических свойств согласно таблице 4 и технологией изготовления, установленной технологическим регламентом.
2 Для арматурной стали, стойкой против коррозионного растрескивания при испытании образцов внитратном растворе, состоящем из 600 частей по массе азотного кальция, 50 частей по массе азотнокислогоаммония и 350 частей по массе воды при температуре 98—100 °С и при напряжении, равном 0,9σ0,2 (принимаемым по таблице 4 настоящего стандарта), время до разрушения от коррозионного растрескивания должносоставлять не менее 100 ч.
3 Для свариваемой термомеханически упрочненной арматурной стали сварные соединения по типу,конструкции и размерам, удовлетворяющие требованиям ГОСТ 14098, должны иметь временное сопротивление разрыву не менее 0,9σв, указанного в таблице 4.
ПРИЛОЖЕНИЕ В
(обязательное)
Требования к статистическим показателям прочностных характеристик
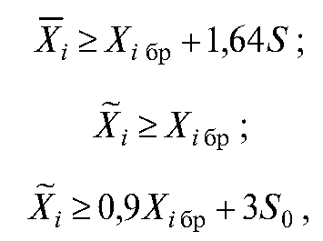
1 Предприятие-изготовитель гарантирует потребителю средние значения прочностных характеристикарматурной стали (временного сопротивления разрыву и условного или физического предела текучести до и после электронагрева) в генеральной совокупности Xi и минимальные средние значения указанных характеристик в каждой партии-плавке Xi, исходя из следующих условий:

где Xi бр — браковочные значения прочностных характеристик, установленные таблицей 4;
S — среднеквадратическое отклонение параметров в генеральной совокупности испытаний;
S0 — среднеквадратическое отклонение параметра в партии.
2 Требуемые показатели качества арматурной стали обеспечиваются соблюдением технологии производства арматурной стали при ее массовом изготовлении и контролируются в соответствии с требованиями раздела 3 настоящего стандарта.
3 Значения Хi, Xi, S и S0 определяют на основании результатов испытания в соответствии с положениями приложения Е.
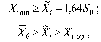
4 При необходимости проверки потребителем прочностных характеристик арматурной стали до и послеее электронагрева до температур, указанных в таблице 4, а также в случаях разногласий в оценке качестваарматурной стали от каждой партии проводят испытания шести образцов, взятых из разных связок (мотков) истержней, и по результатам этих испытаний проверяют выполнение для соответствующих характеристик условий:

где Xmin — минимальное значение проверяемого параметра из результатов испытания шести образцов;
Xi — минимальное среднее значение проверяемого параметра для данной партии;
S0 — среднеквадратическое отклонение проверяемого параметра в партии-плавке;
X6 — среднее значение проверяемого параметра по результатам испытания шести образцов;
X i бр — браковочное значение проверяемого параметра, установленное таблицей 4.
Значения Xi и S0 — по данным документа о качестве этой партии арматурной стали.
ПРИЛОЖЕНИЕ Г
(справочное)
Требования к испытанию на изгиб с разгибом
Испытание на изгиб с последующим разгибом заключается в пластической деформации образца из стержневой арматурной стали путем изгиба до достижения заданного угла в нагреве и охлаждении изогнутогообразца при заданных условиях и последующем разгибе (обратном изгибе) под действием силы в направлении, противоположном первоначальному.
Оси двух опор при изгибе и последующем разгибе должны оставаться в плоскости, перпендикулярной к направлению действия силы.
Испытание должно проводиться на универсальных испытательных машинах или прессах, оборудованных устройствами для изгиба и разгиба. Схемы устройств приведены на рисунках Г.1 и Г.2.
Испытание должно проводиться со скоростью не более 20 град/с таким образом, чтобы в зоне растяжения находились поперечные ребра образца из стержневой арматурной стали.
Расстояние между опорами / не должно изменяться при испытании и должно быть равно

где D — диаметр оправки (таблица Г.1).
Угол изгиба до нагрева (старения) должен составлять 90°.
Изогнутый образец подвергают старению путем нагрева до 100 °С с выдержкой при этой температуре не менее 30 мин и затем охлаждают на воздухе до температуры от 10 до 35 °С.
После охлаждения образца проводят испытание на разгиб до угла разгиба 20° (рисунок Г.З).
Оба угла измеряют перед освобождением от нагрузки.
Испытуемый образец арматурной стали классов Ат400С и Ат500С изгибают вокруг оправки, диаметр которой приведен в таблице Г.1.
Таблица Г.1
В миллиметрах

Диаметр оправки для арматурной стали диаметрами 14, 18 и 28 мм, а также для арматурной стали классов прочности Ат600, Ат800, Ат1000 и Ат 1200 должен быть согласован изготовителем с потребителем.
Образец считается выдержавшим испытание при отсутствии трещин, видимых без применения увеличительных средств.

Рисунок Г.З
1 исходное состояние; 2 положение после изгиба; 3 положение после разгиба
ПРИЛОЖЕНИЕ Д
(обязательное)
Структура маркировки арматурной стали периодического профиля, наносимая при маркировке
1 Маркировка арматурной стали периодического профиля, наносимая при ее прокатке в виде маркировочных коротких поперечных ребер или точек на поперечных выступах профиля, имеет следующую структуру:
- знак начала маркировки;
- обозначение предприятия-изготовителя;
- обозначение класса прочности арматурной стали.
1.1 Знак начала маркировки обозначают в виде двух маркировочных коротких поперечных ребер, примыкающих к противоположным продольным ребрам, либо двух маркировочных точек на соседних поперечныхвыступах профиля.
1.2 За знаком начала маркировки обозначают предприятие-изготовитель числом поперечных выступов n1в интервале t2 между маркировочными знаками в виде коротких поперечных ребер, расположенных у продольного ребра, или точек на поперечных выступах профиля (см. рисунок Д.1)
Примечание — Обозначения конкретных предприятий-изготовителей приводятся в нормативнотехнической документации.
1.3 Обозначение класса прочности арматурной стали в соответствии с 5.10.4 настоящего стандарта располагают за обозначением предприятия-изготовителя.
2 Примеры маркировки арматурной стали приведены на рисунке Д.1.

Маркировка
а ) в виде маркировочных точек на поперечных выступах профиля изготовитель — Череповецкий металлургический комбинат (n1 = 3), арматурная сталь класса прочности Ат600 (n2=4)
б) в виде маркировочных коротких поперечных ребер изготовитель — Сулинский металлургический завод (n1 =3), арматурная сталь класса прочности Ат800 (n2 = 5)
Рисунок Д. 1
ПРИЛОЖЕНИЕ Е
(обязательное)
Методика определения статистических показателей прочностных характеристик арматурной стали
1 Настоящая методика устанавливает порядок применения статистических методов контроля для анализаи регулирования уровня качества арматурной стали, изготовляемой в виде отдельных стержней или в мотках,при ее массовом производстве и применяется при оценке надежности ее прочностных характеристик и арматурной стали в целом, а также для контроля стабильности технологического процесса при производстве арматурной стали.
2 Для определения статистических показателей установленных стандартом прочностных характеристикарматурной стали (временного сопротивления разрыву и условного или физического предела текучести до ипосле электронагрева) используют результаты контрольных испытаний, называемые генеральной совокупностью.
Соответствие прочностных характеристик арматурной стали требованиям стандарта определяют на основании статистической обработки результатов испытаний арматурной стали, образующих выборку из генеральной совокупности контрольных испытаний конкретного параметра прочностных характеристик арматурной стали.
Выводы, сделанные на основании выборки, относятся ко всей генеральной совокупности.
3 Выборка, на основании которой проводят определение статистических показателей, должна быть представительной и охватывать достаточно длительный промежуток времени (не менее трех месяцев), в течениекоторого технологический процесс производства данной арматурной стали не изменялся.
Число партий-плавок в каждой выборке должно быть не менее 50.
4 В выборку должны входить результаты контрольных испытаний арматурной стали одного класса, прокатанной на один или группы близких профилеразмеров из одной марки стали при одном способе ее выплавки.
5 При формировании выборки необходимо соблюдение условия случайного отбора образцов от каждойпартии.
Оценку аномальности результатов испытаний и проверку однородности выборки проводят по нормативно-технической документации.
6 При статистической обработке результатов контрольных испытаний определяют среднее значение конкретного параметра прочностных характеристик арматурной стали в выборке (генеральной совокупности) —Xi, среднеквадратическое отклонение этого параметра в данной выборке — S и среднеквадратическое отклонение в партии-плавке — S0, а также среднеквадратическое отклонение плавочных средних — S1.
Значения Xi и S определяют по нормативно-технической документации.
Значение S0 определяют экспериментальным методом не менее чем по двум плавкам для каждой марки стали, одного класса и диаметра арматурной стали путем случайного отбора не менее 100 проб от каждойплавки.
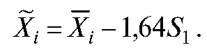
Значение S1 определяют по формуле

7 Проверку стабильности характеристик X1 и S проводят в соответствии с ОСТ 14—34.
8 Минимальное среднее значение конкретного параметра прочностных характеристик арматурной стали
(σв σ0,2 или σт) в каждой партии-плавке .Xi определяют по формуле

Минимальное значение результатов испытания двух образцов (n = 2) в каждой партии, подвергаемой контролю, должно быть не менее Xmin, определяемого по формуле

где Xi — среднее значение конкретного параметра прочностных характеристик арматурной стали в выборке (генеральной совокупности);
S0 и S — характеристики, определяемые по пункту 6 настоящего приложения.
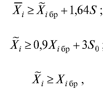
9 Для обеспечения гарантии потребителю установленных стандартом прочностных характеристик арматурной стали с вероятностью 0,95 должны удовлетворяться следующие условия:

где Xi — среднее значение проверяемого параметра прочностных характеристик арматурной стали в выборке (генеральной совокупности);
Xi бр — браковочное значение этого параметра, установленное таблицей 4 настоящего стандарта;
S — среднеквадратическое отклонение проверяемого параметра в выборке;
Xi — минимальное среднее значение проверяемого параметра в данной партии (п. 8 настоящего приложения);
S0 — среднеквадратическое отклонение проверяемого параметра в партии.
МКС 77.140.15 В22 ОКП 09 3100; 09 3200; 09 3300; 09 3400







